×
模态框(Modal)标题
在这里添加一些文本
关闭
关闭
提交更改
取消
确定并提交
×
模态框(Modal)标题
×
期刊
文章
图表
检索
EN
中文
首页
关于期刊
期刊介绍
数据库收录
期刊荣誉
编委会
投稿指南
同行评审政策
出版道德声明
版权转让协议
投稿须知
模板文章
参考文献格式编排要求
在线期刊
当期目录
优先出版
过刊浏览
推荐文章
专题
按栏目浏览
阅读排行
下载排行
引用排行
E-mail Alert
RSS
期刊订阅
广告合作
联系我们
EN
中文
图/表 详细信息
太湖平原地区洪水特征变化及驱动机理
王强, 许有鹏, 杨龙, 童建, 林芷欣, 高斌
地理学报, 2023, 78(
5
): 1088-1103. DOI:
10.11821/dlxb202305003
图1
太湖平原地区区位及变化环境下防洪压力示意
本文的其它图/表
图2
平原河网地区洪水事件识别与空间尺度划分框架
表1
平原河网地区洪水事件及其驱动因素特征指标
图3
太湖平原地区局部、区域、流域不同尺度洪水特征
图4
太湖平原地区洪水变化特征及区域性洪水对总洪水事件频次变化趋势的贡献率
图5
太湖平原地区不同尺度洪水的特征指标与驱动因素之间相关性
注:*表示
p
< 0.05。
图6
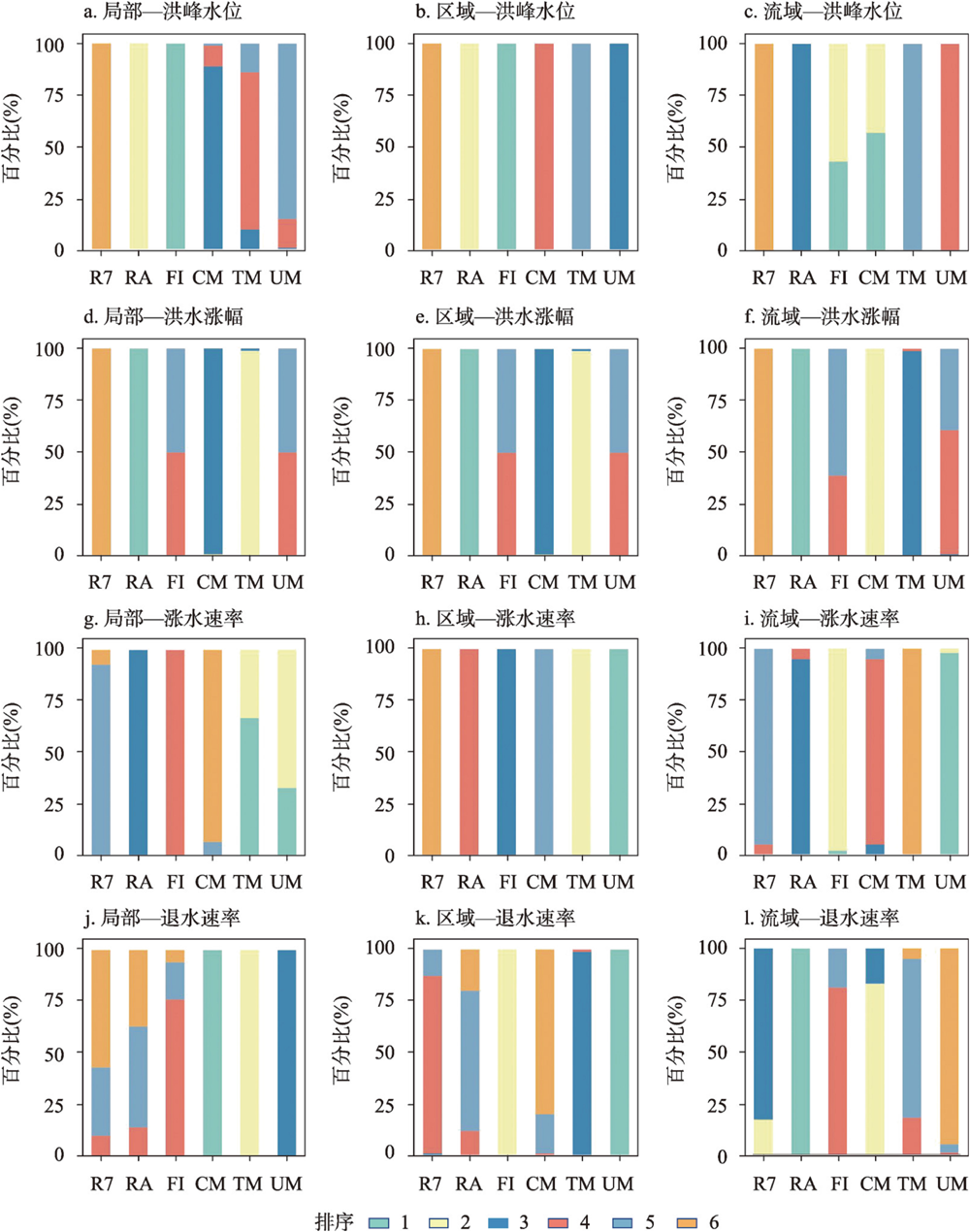
不同空间尺度洪水特征指标的影响因素排序
表2
不同尺度洪水特征受主控因子影响的相对贡献率(%)
图7
不同尺度洪水特征受各驱动因素影响的相对贡献率的空间分布(%)
图8
1971—2020年研究区汛期和年最大水位、潮位、降雨、太湖水位变化趋势