区域发展

全球数据中心扩张的空间特征与区位选择

  • 李源 , 1 ,
  • 刘承良 , 1, 2 ,
  • 毛炜圣 1 ,
  • 谢永顺 3, 4
展开
  • 1.华东师范大学城市与区域科学学院,上海 200241
  • 2.华东师范大学全球创新与发展研究院,上海 200062
  • 3.清华大学环境学院,北京 100084
  • 4.中国科学院地理科学与资源研究所,北京 100101
刘承良(1979-), 男, 湖北武汉人, 教授, 博士生导师, 主要从事科技地理与区域创新研究。E-mail:

李源(1994-), 男, 北京人, 博士生, 主要从事数字创新与区域发展研究。E-mail:

收稿日期: 2022-07-27

  修回日期: 2023-04-19

  网络出版日期: 2023-08-15

基金资助

国家社会科学基金重大项目(21ZDA011)

Spatial characteristics and location selection of global data center expansion

  • LI Yuan , 1 ,
  • LIU Chengliang , 1, 2 ,
  • MAO Weisheng 1 ,
  • XIE Yongshun 3, 4
Expand
  • 1. School of Urban & Regional Science, East China Normal University, Shanghai 200241, China
  • 2. Institute for Global Innovation & Development, East China Normal University, Shanghai 200062, China
  • 3. School of Environment, Tsinghua University, Beijing 100084, China
  • 4. Institute of Geographic Sciences and Natural Resources Research, CAS, Beijing 100101, China

Received date: 2022-07-27

  Revised date: 2023-04-19

  Online published: 2023-08-15

Supported by

Major Program of National Social Science Foundation of China(21ZDA011)

摘要

数字经济时代,新一轮信息技术革命对人类生产生活产生了复杂且深刻的影响,数据中心作为数据存储、分析、加工、应用的容器在全球数据价值链中的重要性日益凸显,成为全球数字化发展的有力支撑。在此背景下,厘清全球数据中心多尺度扩张规律及区位选择影响机制,指导数据中心在不同空间尺度下形成合理布局意义显著。为此,融合空间统计、空间分析、计量分析等方法,对2005—2020年全球数据中心扩张的空间特征与影响因素进行实证研究。研究发现:① 全球数据中心空间扩张态势明显,增长重心与经济重心同步系统性东移,全球尺度形成北美、西欧、东亚三大增长核心;城市尺度上,城市群、都市区是数据中心扩张的主要空间载体,形成北京、东京、上海等多个数据中心枢纽城市。② 多尺度空间扩张主要表现为邻近扩张、点状生长和聚集增长3种模式,在全球和城市尺度上形成“核心—边缘”、多核心结构等多种空间形态。③ 数据中心空间扩张的区位选择受市场规模、要素供给、运营环境的共同影响,但由于测量方式和空间尺度因素导致在国别和城市选择上存在一定差异。全球尺度受市场规模影响显著,要素供给和运营环境的影响表现出不同程度的阶段性特征;城市尺度受市场规模和要素供给、安全水平影响显著。

本文引用格式

李源 , 刘承良 , 毛炜圣 , 谢永顺 . 全球数据中心扩张的空间特征与区位选择[J]. 地理学报, 2023 , 78(8) : 1936 -1954 . DOI: 10.11821/dlxb202308006

Abstract

With the coming of digital economy era, the development and application of information technology revolution, such as 5G, cloud computing, big data, Internet of Things and artificial intelligence, production and living of human are being deeply affected. The data center is an important new infrastructure that integrates data storage, analysis, processing and application. It is increasingly important in the global data value chain and plays a strong supporting role in the global digital development. In this context, it is of great significance to clarify the multi-spatial scale expansion laws and location selection mechanism of global data centers, and layout them scientifically and reasonably. This paper integrates spatial statistics, spatial analysis, and spatial measurement methods, and conducts empirical research on the spatio-temporal differentiation and influencing factors of global data center expansion from 2005 to 2020. The results show that: (1) The spatial expansion trend of the global data center is obvious, and the growth center and the economic center move eastward, forming three major growth cores in North America, Western Europe, and East Asia. From the perspective of city scale, city clusters and metropolitan areas are the main spatial carriers of expansion, while a few cities such as Beijing, Tokyo, and Shanghai are the central hubs. (2) The spatial expansion characteristics of the data centers can be divided into contact expansion mode, point growth mode and agglomeration growth mode. (3) The location selection of data center spatial expansion is jointly affected by market size, element supply, and operating environment. However, the measurement method and spatial scale factors in selecting a country or a city are not completely consistent. From the perspective of global scale, market size is the most important factor, and the influence of element supply and operating environment show different stage characteristics; city scale is significantly affected by market size, element supply, and security level.

1 引言

伴随以5G、云计算、大数据、物联网、人工智能等数字技术加速升级迭代并与经济社会各领域深度融合,新型数字基础设施受到各国普遍关注并成为提升综合竞争力的重要抓手[1]。当前,数字经济凭借其高渗透性、规模效应、网络效应成为驱动全球经济增长的新引擎,使数字化、在线化成为当前全球经济活动的重要组织形式[2-3],由此带动全球数据量呈现爆发式增长[4-5]。数据应用、数字化转型对以数据中心、海底光缆等为代表的数字基础设施造成了前所未有的压力[6],引发各类数字基础设施在全球范围内快速扩张。作为数字基础设施重要构成部分的数据中心具有强产业关联特性,在全球数据价值链中承担数据存储、分析等数据增值的核心功能,有效支撑整个国民经济发展[7]。特别是在数字经济时代,作为经济社会数字化发展的基石,数据中心有力支撑产业数字化转型,对打造区域创新发展新高地、应对国际竞争具有重要的战略意义[8-9]
数据中心主题相关研究是数字经济时代的重要议题,已有研究主要从以下视角开展:① 数据中心软硬件设施。主要由计算机、信息通信等领域学者主导,聚焦数据中心关键核心技术研究,如IT设备、供电设备、温控设备、安全设备等硬件设施[10-11],以及云计算、网络结构、安全软件等软件系统等研究[12-13],力图通过核心技术升级增强数据中心运营效率,降低运营成本,保障运维安全。② 数据中心产业发展及效应。主要由管理学、经济学、地理学等领域学者开展,围绕数据中心对于经济发展、财政收入、生态环境等方面所产生的效应,以及数据中心企业发展对策、政府政策响应等内容开展[14-17]。③ 数据中心空间格局与优化。由地理学和经济学领域学者主导,主要围绕数据中心的空间格局、区位选择、协同布局、建设运营模式、地缘安全等方面开展[18-23],通过协同布局优化提高数据中心对数字经济的支撑作用及对关联产业的带动作用。总的来看,数据中心相关主题研究涉及多学科、多领域的共同参与,其中地理学在数据中心空间布局及产业发展等方面贡献突出,但受数据所限对全球尺度时空格局演化及机制探讨较少;研究方法以定性研究为主的同时融入多目标决策、GIS空间分析等定量研究方法,较少运用空间统计及计量分析方法;研究空间尺度通常以城市或城市内部的单一尺度为主,亟待开展多尺度对比研究。
社会经济现象的空间格局演化及其影响因素研究是地理学特别是人文地理学核心研究内容之一[24],遵循“格局—过程—机理”研究范式,已有研究涉及人口、产业、设施、社会经济联系等,有力地解释了各种地理现象的时空演化[25-28]。与此同时,空间尺度是地理学研究的重要概念,空间尺度效应表现为随空间尺度变动,被观测对象呈现不同的特征和结构,多尺度空间格局和影响因素的综合研究可以更充分地解释地理现象空间扩张的动力过程[29-31],是理解地理现象扩张与集聚的重要视角。数据中心作为一类新型基础设施,使用人文地理学逻辑与方法探讨其多尺度扩张格局演变及其区位选择的影响因素,对于充分理解数据中心企业对于其扩张的区位选择与地理空间之间的相互关系,指导数据中心形成合理布局意义重大。特别是在当前全球数字科技竞争日益激烈、数字经济为全球经济发展注入新活力之时,把握数据中心扩张的空间格局及其影响机制恰逢其时。
综上所述,本文基于2005—2020年全球数据中心数据,融合空间统计、空间分析、计量分析等方法,从国家和城市尺度刻画全球主要国家数据中心扩张的区位选择特征、归纳扩张模式,系统揭示全球数据中心空间选择的时空演化规律,并探究影响因素,以期为全球及中国数据中心布局优化提供参考,同时丰富经济地理学及网络空间地理学相关理论与实践。

2 理论框架与研究方法

2.1 理论框架

2.1.1 数据中心的内涵属性

数据中心(Data Center)起源于20世纪40年代的大型机房,随着信息技术的不断变革,数据中心的功能也在不断发展,由最初的数据存储功能为主,逐渐向数据处理、数据应用、数据运营等方向演进,成为重要的算力基础设施[32]。数据中心内涵随其功能演进不断延伸扩展,成为以数据为基本管理对象,融合云计算、区块链、人工智能等技术于一体,集数据、算力、算法三大要素于一身的数字基础设施[31]
根据中国信息通信研究院关于数据中心规模的划分标准[33],以功率2.5 kW为一个标准机架,将数据中心划分为超大型、大型、中小型3种规模。其中,规模大于10000标准机架的为超大型数据中心,规模大于3000标准机架但小于10000标准机架的为大型数据中心,小于3000标准机架的为中小型数据中心。按服务范围大小可将数据中心划分为全球级、国家级、区域级和机构级4个等级。按运营模式可以分为企业数据中心、批发型数据中心、零售型数据中心、基础电信运营商数据中心等[34]。作为中国“新基建”的重要构成,数据中心建设已成为推动产业数字化转型的必然选择,也是发展数字产业并带动经济增长的重要举措[35-36]

2.1.2 数据中心的区位指向

经济区位论是理解数据中心扩张的经典理论。数据中心作为一种数字基础设施,其区位选择综合了工业、商业、服务业等多种产业特性,涉及社会、经济、环境等多种因素[37]。总的来看,数据中心时空扩张是在市场规模、要素供给、运营环境等多种因素共同作用的结果,且在不同时空间尺度下,影响数据中心区位选择因素存在一定差异。
(1)广阔的需求市场:与商业、服务业设施类似,数据中心主要布局在数字经济发展水平较高、人口密度高、数据流量大等具有广阔市场的国家和区域以获取商业利益[38]。① 旺盛的算力需求。伴随数字经济对于全球经济增长的驱动作用不断强化,产业数字化和数字产业化进程深入推进,对算力提出了更高的需求[39],数字经济发展水平较高的国家、各国主要城市的数据流量经历了爆发式的增长,对以数据中心为代表的新型数字基础设施产生了大量需求,成为数据中心布局的重要区位。② 邻近相关机构与企业。终端客户需求对数据中心布局同样起着指引作用,券商、金融、游戏、科创等产业对低延时的实时算力有着强烈的需求,吸引数据中心进行本地化部署[40]。③ 较高的市场增长潜力。为了拓展和占领市场,数据中心运营商通常会抢先在市场潜力大或竞争压力小的区域进行布局,以取得先发优势。
(2)优质的要素供给:数据中心具有强生产要素指向特征,其建设和运营需要大量的自然资源和经济资源作为支撑与保障。① 低廉的建设与运营成本。数据中心在建设与运营过程中需要大量平整开阔的土地、低廉稳定的电力与网络供给[41],特别是电力资源在数据中心运营成本中占比超50%[42],考虑到降低建设、运营成本的需要,富能源、低地租地区成为数据中心布局的重要选择。② 优质的运维保障条件。数据中心运行和维护需要大量的专业性运维人才和管理人才提供技术支持;互联网骨干线路节点城市、海底光缆登陆站点城市等网络基础设施完备的地区,可以为数据中心提供廉价稳定的网络传输。③ 完善的配套设施。数据中心的运行与保障需要完善的交通条件和先进的技术水平,完善的配套成为吸引数据中心布局的重要因素[43]
(3)稳定的运营环境:数据中心建设与运营需要适宜的自然环境、稳定的社会环境和优惠的政策环境。① 凉爽的气候条件。数据中心的散热系统能耗占比极高,仅次于IT设备用电[42],凉爽的气候对于降低数据中心能耗有显著效果,是数据中心区位选择的重要因素[44]。② 可靠的自然和社会环境。主要涉及自然环境安全、政治安全、军事安全、社会治安等对数据中心可靠性所造成的影响,需要尽量减少安全风险对于数据中心的冲击,特别是避免断电、断网、意外事故等安全因素对数据中心正常运转及数据安全造成影响[45]。作为一种邻避型基础设施,数据中心运营会产生大量的噪音和其他问题,因此在微观区位布局时,需尽量远离住宅区,避免对居民生活造成影响[46]。③ 优惠的政策环境。数据中心区位选择受政策影响显著,当前全球主要国家均认识到数据中心建设与运营大量耗费有限的土地、电力等资源,并产生大量的碳排放,从可持续发展角度出发,各国数据中心政策密集出台,通过税收减免等政策引导数据中心向富能源地区集约布局,并通过合并、改造或关闭的方式优化高能耗数据中心,亦或暂停新数据中心项目[8]
(4)区位因素的综合权衡:数据中心区位选择是对多种因素综合权衡的结果,在某些因素发挥主导作用时,势必会减少对于其他因素的考虑。如数据中心与用户集聚地、能源供应地等既可整合又可分离,数据存储、离线分析等相关业务对实时算力要求相对较低,专注于此类服务的数据中心倾向于向低地租、富能源区域聚集而不是指向用户所在地;同时,数据中心布局时若优先考虑邻近服务对象,那么可能需要放弃低廉的电力和土地所带来的成本节约。

2.1.3 数据中心的空间扩张

数字经济在全球范围内的快速发展带动全球数据流量高速增长,数据中心的全球扩张成为必然趋势。全球数据中心的空间扩张可以归纳为以数据中心自身属性为基础的自组织与他组织共同作用的结果[47],一方面表现为受数据中心自身固有属性影响表现自组织过程,另一方面为受外界扰动影响表现为他组织过程[48]
具体而言,作为具有强市场指向性特征的新型基础设施,数据中心首先出现在互联网发达、具有先进数字化水平的算力需求旺盛、市场前景广阔的地区,数据中心在这些先发地区不断聚集增长带动其规模水平得到提升[32]。在随后的市场趋向饱和、竞争压力增大、关键要素成本上升、区域政策调整、外部环境波动等固定调节与随机扰动因素的多重自他组织作用下,数据中心向其他区域呈现邻近扩张或点状生长,并在这些区域进一步聚集增长,表现出路径依赖与路径创造特征[49]。在此过程中,多机制互动调节带动数据中心布局的空间结构不断演进,发育典型的等级性和层次性特征[50],聚集形成国家级、区域级、地方级的数据中心枢纽体系,多种等级枢纽在不同空间尺度上共同塑造形成单核心结构、多中心结构、“核心—边缘”结构、散布结构等多种空间形态[51],进而支撑互联网与数字经济的发展。伴随着数据中心的扩张与整合,整个区域的数据中心空间结构在错配无序与同配有序中往复发展并最终向高水平耦合演进[52]
基于上述对于数据中心内涵属性、区位指向、空间扩张的理论分析,本文构建了数据中心扩张的理论框架(图1)。综合来看,数据中心的固有属性所产生的自组织机制、区域环境产生的他组织机制是数据中心扩张演化的主要动力,其产生的聚集力与扩散力促使数据中心表现路径依赖与路径突破特征并形成邻近扩张、点状生长、聚集增长等多种空间选择形式,共同塑造全球数据中心的空间结构不断演进。
图1 数据中心扩张的理论框架

Fig. 1 The theoretical framework of the data center spatial expansion

2.2 研究假设

根据上述数据中心的区位指向分析,数据中心的区位选择是多种因素权衡后的结果。数据中心倾向于邻近具有广阔市场潜力的区域进行布局,其建设、运营既需要低廉、稳定的软硬件环境作为支撑保障,更需要适当的条件以降低运营成本,同时还会受政策等外部力量的影响。综合理论分析并结合数据可得性,本文提出以下研究假设:
H1:市场规模与潜力对数据中心的区位选择具有显著正向作用;
H2:生产要素规模与质量对数据中心的区位选择具有显著正向作用;
H3:生产要素成本对数据中心的区位选择具有显著负向作用;
H4:平均气温对数据中心的区位选择具有显著负向作用;
H5:社会安全水平对数据中心的区位选择具有显著正向作用。

2.3 研究方法与模型构建

本文主要使用数理统计、重心分析、图示化表达等分析方法对数据中心扩张的空间态势进行描绘;使用计量经济方法探讨数据中心区位选择的影响因素。为节省篇幅,仅对指标选取与模型构建进行说明。

2.3.1 指标选取

受数据可得性限制,本文主要从全球尺度和城市尺度对数据中心空间扩张的影响因素进行探讨。根据前文数据中心区位选择的理论分析,从市场规模、要素供给和运营环境3个方面确定指标,考虑到数据可得性,选取市场规模、网络条件、电力条件、人力条件、交通条件、技术条件、气候条件、安全水平等8项指标(表1)。
表1 数据中心区位选择的影响机制指标体系

Tab. 1 Index system of influence mechanism of location selection

类别 指标(代码) 国家尺度指标解释 城市尺度指标解释
市场规模 市场规模(IU) 互联网用户数 GaWC城市评分
要素供给 网络条件(IB) 国际带宽 互联网宽带价格
电力条件(ER) 通电率 工业电力平均价格
人力条件(HR) 软科TOP 500高校数量 软科TOP 500高校评分
交通条件(TI) 交通基础设施水平 航空通航城市数量
技术条件(TC) ITC服务出口额 专利申请数量
运营环境 气候条件(AT) 平均气温 平均气温
安全水平(SR) 政治稳定性 安全指数
从国家尺度来看,市场因素中,数据中心主要服务互联网及数字经济发展带来的数据存储及处理活动,选用互联网用户数表征市场规模以反应国家(地区)对于数据中心的需求。要素供给因素中,网络基础设施、电力条件、人力资源、交通条件、科技条件是数据中心建设和运营的重要支撑,是数据中心运营商国家(地区)选择需考虑的支撑性因素,分别选用国际带宽、通电率、软科TOP 500高校数量、世界经济论坛各类交通基础设施发展水平之和、ICT服务出口额来表征。由于缺乏全球尺度土地资源的可比数据,故未将土地条件纳入到模型之中。气候条件中,可通过将数据中心布局在自然环境适宜地区以降低运营能耗,稳定的安全环境也是保障数据中心可靠性的重要因素,分别选用平均气温和政治稳定性进行表征。
城市尺度的指标体系与国家尺度一致,受数据可得性影响,指标内涵存在一定差异。市场因素中,使用GaWC评分表征市场规模,对各城市以GaWC等级由Alpha++到Sufficiency分别赋12~1分,其他城市赋分0。要素供给因素中,使用价格表征网络和电力条件;使用各城市软科TOP 500高校得分衡量人力条件,以10%为间隔,排名前10%到100%分别赋值10~1分;使用航空通航城市数量和专利申请数量表征城市的交通条件和技术条件。受数据限制,模型同样暂不对土地条件进行考虑。运营环境因素中,分别使用平均气温和NUMBEO的城市安全指数表征气候条件和安全水平。
本文采用分时段研究全球数据中心的空间扩张,将数据中心扩张划分为2005—2010年、2011—2015年、2016—2020年3个阶段,参考已有研究[53-54]采用各时段变量平均值进行回归。综合数据可得性和可靠性,在国家尺度对3个阶段进行回归分析,城市尺度影响因素分析中仅对第三阶段2016—2020年数据进行回归分析。

2.3.2 回归模型

全球数据中心扩张数据为计数数据,且被解释变量存在过度离散现象,因此选用负二项回归模型对全球数据中心空间扩张的影响因素进行识别分析[25]。全球尺度和城市尺度影响因素模型构建分别如下:
D C i _ ( ) = α + β 1 l n I U i + β 2 l n I B i + β 3 E R i + β 4 H R i + β 5 T I i + β 6 l n T C i + β 7 A T i + β 8 S R i + ε i
D C i _ = α + β 1 I U i + β 2 I B i + β 3 E R i + β 4 H R i + β 5 T I i + β 6 l n T C i + β 7 A T i + β 8 S R i + ε i                  
式中:α是常数项;εi是随机误差项;DCi为国家(地区)、城市i新增数据中心数量;IUi表示国家(地区)、城市i的数据中心市场规模;IBi表示国家(地区)、城市i的网络条件;ERi表示国家(地区)、城市i的电力条件;HRi表示国家(地区)、城市i的人力条件;TIi表示国家(地区)、城市i的交通条件;TCi表示国家(地区)、城市i的科技条件;ATi表示国家(地区)、城市i的气候条件;SRi表示国家(地区)、城市i的安全水平。为减少指标数据存在的波动性并消除异方差,部分指标取对数形式[55]
模型检验结果显示,模型参数Alpha值不等于0,prob > chi2 = 0.000。对所有变量进行多重共线性检验,VIF值均小于5,不存在明显多重共线性问题,模型构建良好。需要说明的是,负二项回归的伪R2值通常会远低于普通最小二乘法模型的R2值,当伪R2值大于0.2时即可被认为拥有极佳的拟合度[56]。为了验证模型的稳健性,选择以替换变量法将机架数量作为因变量、替换自变量两种方式重新构建模型,回归结果呈现较强的一致性,表明模型构建较为稳健,具有较强解释力。

2.4 数据来源与数据处理

2.4.1 数据中心基础数据

数据中心基础数据主要来源于数据中心知识库(451 Research Datacenter Knowledge Base),数据中心知识库是标普集团旗下的权威数据集,该数据集收录了全球100多个国家(地区)主要数据中心的建设时间、规模等信息。同时,使用多源数据(① 主要包括来源于www.datacenterhawk.com、www.baxtel.com、www.cloudscene.com、www.datacenters.com、www.datacentermap.com等网站、数据库以及主要数据中心运营商网站的相关属性数据。)对部分缺失信息进行补充。数据中心在20世纪末进入建设萌芽期,随后在21世纪初迎来繁荣发展。本文主要目的是考察不同时间阶段全球数据中心在不同空间尺度上的区位选择偏好,更加关注各阶段新建数据中心,为此选择2005—2020年新增数据中心作为主要研究对象,并分为2005—2010年、2011—2015年、2016—2020年3个时段进行讨论。

2.4.2 解释变量来源与处理

国家尺度指标数据主要来源于国际电信联盟、世界银行、世界经济论坛、软科、全球治理指标数据库等。城市尺度指标数据主要来源于各国及欧盟统计局、全球化与世界级城市研究小组与网络(GaWC)、NUMBEO、CLIMATE-DATA.org、软科、OAG Schedules Analyzer、世界知识产权组织以及《全球城市竞争力报告》等权威报告。
由于城市尺度部分城市的部分数据存在缺失,故使用估算方式进行补充。其中互联网宽带价格缺失数据使用国内邻近城市或国家尺度数据进行补充。电力价格在欧盟使用城市尺度数据,在中国使用省级数据,美国使用州级数据,其他国家使用国家尺度数据。安全指数缺失城市使用邻近的国内城市或所在国平均水平补充,若所在国家无城市有安全指数数据,则根据全球治理指标数据库中的政治稳定性进行估算。由于机场通常服务于所在城市及其邻近城市,且部分城市机场并非位于市域范围内,因此将通航城市数量赋予所在城市及主要服务城市。

3 全球数据中心扩张的空间特征

3.1 全球尺度:地域范围不断扩张,形成三大增长核心

全球数据中心地域范围不断扩张,覆盖国家持续增加,在全球范围内呈现多中心增长态势。2005年以来,全球数据中心空间扩张表现出明显的“空间粘性”和“马太效应”特征,位于北半球的北美、西欧、东亚三大全球数据中心聚集区由于高度发达的互联网及数字经济,是全球扩张的主要动力,其中美国、中国始终引领着全球数据中心增长。南半球新建数量和规模均远低于北半球,始终处于较低水平,其中澳大利亚、巴西、南非等国是南半球建设的主导力量。随着数据中心在全球范围的广泛扩散,数据中心的地理重心与全球经济重心表现出一致的系统性东移现象,东亚地区在全球数据中心扩张中的地位愈加重要[57]。经过多年的扩张演化,全球数据中心的空间分布最终由北美、西欧、东亚“三核心”格局成长为东亚、西欧、北美为全球核心,印度、新加坡、澳大利亚、巴西等为区域中心的“三核心、多中心”格局,与全球人口和经济活动分布表现出较强的空间同配特征。数据中心在全球各国分布表现出明显的长尾分布特征,大部分数据中心集中分布于数量排名前列的国家,数字基础设施发展不平衡进一步拓宽了全球“数字鸿沟”,在一定程度上制约了部分“南方国家”数字经济发展能力[58]图2)。
图2 2020年全球数据中心空间格局

注:基于自然资源部标准地图服务网站审图号为GS(2016)1665号的标准地图制作,底图边界无修改。

Fig. 2 Distribution of global data centers in 2020

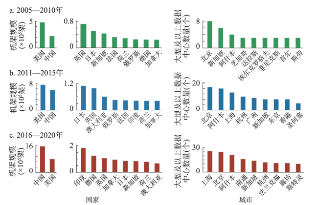
(1)2005—2010年新建数据中心高度集聚在北美、西欧、东亚3个地区,在全球范围内形成三大核心(图3a)。① 新建数据中心的国别分布表现为首位型分布(|q| = 1.58),不同国家增速差异显著。数据中心新建数量前20位的国家集中了超过90%的项目,其中美国、中国、英国等因在ICT领域领先的地位成为本阶段增长的主导力量,集中了超过50%的新建项目。南美、中亚、东南亚和非洲算力需求有限导致新建规模相对较小,主要位于这些地区经济相对发达的国家。② 粗放式发展使得中小型数据中心主导本时段数据中心的扩张,而大型及超大型数据中心新建数量较少,主要分布于美国和中国,其中超大规模项目高度集中于美国。
图3 2005—2020年全球数据中心扩张的空间格局演化

注:基于自然资源部标准地图服务网站审图号为GS(2016)1665号的标准地图制作,底图边界无修改。

Fig. 3 Spatial evolution of data centers expansion from 2005 to 2020

(2)2011—2015年全球数据中心地域范围进一步扩展,呈现邻近扩张和点状生长并行态势,大型化特征开始显现(图3b)。① 建设数据中心的国家数量大幅增长,美国、中国和日本仍是全球数据中心扩张的主导国家,南半球新建数量有小幅提升,但增速与北半球相比差距显著。② 全球数据中心地域范围呈现邻近扩张和点状生长并行态势。一方面,围绕北美、西欧、东亚三大核心区域向邻近国家表现邻近扩张现象;另一方面,非洲互联网的进一步发展带动尼日利亚、肯尼亚、摩洛哥等国家表现为“路径创造”式的点状生长模式,但新增数据中心规模通常较小。③ 规模大型化趋势开始显现。美国、中国仍是大型及超大型数据中心的主要建设地,与此同时,伴随后发国家互联网迅猛发展,南亚、东南亚、南非等地区也出现了大型及超大型数据中心。
(3)2016—2020年全球数据中心扩张放缓,中国、印度增长动力强劲,大型化趋势进一步凸显,“三核心、多中心”空间格局进一步巩固(图3c)。① 全球数据中心新建进入调整巩固阶段,增长的主要动力发生变动,建设重心东移趋势显著。受数据中心建设运营成本的大幅增长,能耗与碳排放问题受到重视,欧美国家增速普遍放缓。中国因其数字经济和数字化转型迅猛发展带动数据中心建设,取代美国成为全球扩张的最主要引擎,且以大型及超大型规模为主。印度的地位得到凸显,新建数量仅次于美国。更多非洲国家出现了数据中心建设,但仍以中小型为主,超过30%的数据中心由国外数据中心供应商投资建设,这一比重远超其他国家和地区。② 大型化趋势进一步凸显,大型、超大型数据中心取代中小型占据增长的主导地位,地域集中度进一步提升。在政策及市场的自他组织作用下,中国算力需求大幅增长的同时,政策指引数据中心集约化、大型化发展,使得中国成为大型、超大型数据中心的主要新建地,占比超过50%,数量远超其他国家,其次是美国和印度。而欧洲国家大型及超大型新增数量显著少于亚洲国家。

3.2 城市尺度:集中于发达大城市,邻近扩张趋势显著

全球数据中心在城市尺度上扩张同样存在明显的空间差异。新建数据中心的城市数量经历了由增加到收缩的动态演化过程,各城市新建“位序—规模”呈现典型幂律分布特征。数据中心扩张的主导城市与人口分布及经济发展水平表现出空间同配性,多集中于人口30万以上的经济发达、高科技产业集聚、重要国际网络节点的沿海大城市,特别是各国大城市群或都市区的核心城市是扩张的重点区域,如中国的长三角城市群、京津冀城市群、粤港澳大湾区,美国的纽约都会区、华盛顿都会区,加拿大的大多伦多地区、英国的伦敦都市区等地区中的城市数据中心建设密集。数据中心在不同国家城市扩张存在阶段差异,欧美日国家城市因其数字经济和互联网的高度发展以及发达的ICT技术,在数据中心扩张中处于领先地位,并在自身属性及外部区域政策的自他组织作用影响下及邻近性机制作用下经历了由大城市中心向周边中小城市的转向过程,而中国、印度以及非洲城市正经历上述过程。不同国家城市数据中心扩张表现出显著差异,欧美国家如美国、荷兰等国数据中心增长由多个城市共同作用,参与新建的城市数量较多,但各城市新增数量较少;中国数据中心建设由几个城市主导,高度集中于北上广等三大城市群的核心城市,城际增长差异较大。经过多年的扩张演化,数据中心在全球各城市分布同样表现出明显的长尾分布特征,高度集中于少数头部城市,在全球范围内形成北京、东京、上海、莫斯科、新加坡等多个数据中心枢纽,全球数据中心在各国主要城市间的空间布局向与经济社会高水平耦合演进。
(1)2005—2010年参与建设的城市较少,地域范围相对集中,以各国首都和经济发达的大城市为主(图3d)。① 各城市新建数量存在显著差异。参与数据中心建设的城市高度集中于美国,其次是中国和法国,各城市建设数量多为3个以下。新建数量排名前列的城市多位于亚洲,北京是本阶段全球数据中心增长的动力核心,新建数量远超其他城市,处于绝对的主导地位,其次是上海和莫斯科。② 北京在不同规模扩张中均处于首位。北京、新加坡、阿什本新建大型、超大型数据中心超过3个,其余90个大型及超大型数据中心新建于其他71个城市(图4)。北京、上海中小型数据中心新建数量同样位于前列,占据新增总量的10%。③ 各国首都及经济发达的大城市是各国数据中心首选布局区位,欧美国家由于成本和政策因素出现向大城市周边扩散趋势。中国新建数据中心高度集中于北上广3个城市,其次是深圳及各省的省会;日本高度集中于东京和大阪;美国新建数据中心主要分布于芝加哥、达拉斯、圣何塞等大城市,以及位于华盛顿都会区的阿什本、纽约都会区的皮斯卡塔韦等中小城市或镇区;英国新建数据中心集中分布在伦敦和位于其西部的斯劳。尽管欧美国家在政策及成本因素等自他组织机制作用下已经出现向大城市周边城市转移的趋势,但首都、各州的首府或经济发达城市仍是首选区位。
图4 2005—2020年全球主要国家新增机架规模和主要城市新增大型及以上数据中心数量

Fig. 4 The scale of new racks in major countries and the growth trend of large scale data centers in major cities, 2005-2020

(2)2011—2015年参与数据中心建设的城市数量大幅提升,特别是亚洲城市带动作用显著,欧美城市数据中心建设向大城市周边及中小城市转移态势显著(图3e)。① 亚洲城市特别是中国城市的带动作用进一步凸显。北京扩张放缓但仍处于首位,增长动力由北京单核引领向北京、上海、东京、广州等多中心带动转变。在算力需求带动下,中国城市在大型及超大型数据中心建设方面带动作用显著,北京、上海是本阶段大型及超大型数据中心的主要布局城市(图4)。② 大城市周边城市中小城市成为欧美数据中心建设的主要区位,中国仍以北上广深等大城市群核心城市为主。为降低建设和运营成本,满足大型数据中心设施布局,大城市周边地区成为数据中心新建的重要区域,这一现象在欧美及日本的城市尤为明显。中国新建数据中心也存在上述趋势,如北京周边的廊坊等,但大城市群的核心城市仍是数据中心布局的主要区位。
(3)2016—2020年参与数据中心建设的城市相比上一阶段有所下降,形成多个数据中心枢纽城市,城市内部集聚形成多个集群(图3f)。① 伴随着互联网迅猛发展和数字化转型不断深入,中国城市在全球数据中心建设中的地位逐渐攀升。新建数量前10位城市中有6个位于中国,且城市等级有所下降,路径创造特征凸显,廊坊、南通进入到全球数据中心新建数量前10城市。② 大型、超大型数据中心主要建设城市保持相对稳定,空间上呈现连续扩张态势(图4)。上海、北京、阿什本仍是全球大型及超大型数据中心的主要建设城市,同时,在政策指引下,中国一线城市和周边城市加快数据中心协同布局,超大型数据中心在中国的南通、杭州、河源、廊坊、张家口等大城市群内中小城市增长较快,在全球增长中发挥引领作用,大型及超大型数据中心向大城市周边中小城市、富能源地区及气候适宜地区转移现象显著。③ 聚集发展成为数据中心建设的主要态势。欧美形成阿什本、伦敦、斯劳、法兰克福等多个数据中心枢纽城市,新建数据中心主要围绕枢纽城市进行;中国数据中心枢纽城市初步发育并成长;非洲国家、印度等国城市数据中心加速建设,地域范围空间扩展幅度相对较大,但聚集规模相对较小或相对分散。

3.3 演化规律:受聚集力与分散力共同驱使,形成多种空间结构

2005—2020年全球数据中心的空间扩张演化表明,数据中心的区位选择受到相向的聚集力与扩散力的共同驱使,呈现出聚集式与扩张式两种基本的空间选择方式[59-60],其中,扩张式又可细分为邻近扩张与点状生长两种具体方式[61-62]。在多种力量相互作用下,全球数据中心的空间结构不断演进(图5)。
图5 2005—2020年全球数据中心空间扩张模式

注:基于自然资源部标准地图服务网站审图号为GS(2016)1665号的标准地图制作,底图边界无修改。

Fig. 5 Spatial expansion model of data centers, 2005-2020

(1)邻近扩张:是一种路径依赖与路径创造并存的空间选择方式,表现为数据中心企业受空间近邻效应的影响,选择邻近未出现数据中心建设的区域进行布局,带动数据中心建设的空间范围由近及远扩展。该空间扩张方式较为普遍,在全球尺度上表现为向邻近国家扩张,如由法国、俄罗斯向乌克兰扩张;城市尺度上表现为由某一城市向周边其他城市扩张,如达拉斯向邻近的理查森扩张,阿什本向邻近的斯特灵扩张。邻近扩张的动力主要来源于诸如原区域成本上升、竞争压力、政策限制等所产生的扩散力,以及扩张所指向区域低廉的成本、广阔的市场、优惠的政策等所产生的聚集力的单独作用或共同作用,扩散力中的扩散性循环累积效应与聚集力中的聚集性循环累积效应[59],促使数据中心企业采取邻近布局方式。
(2)点状生长:是一种路径创造式的空间选择方式,表现为在算力需求带动下数据中心跨区域的不连续扩张,带动数据中心建设在新的地理空间出现。该方式在全球尺度上以非洲国家的数据中心孤立增长为典型代表;城市尺度上表现为某一邻近地区无数据中心的城市出现数据中心布局。其中等级扩张是点状生长的一种特殊形式,表现为数据中心依据区域等级进行空间扩张。点状生长所在区域的广阔市场、低廉成本、优惠政策等所产生的聚集性循环累积因果链增强了区域聚集力,促使数据中心企业向该地布局[59]。与此同时,在国家内部中也表现出自上而下的他组织力量作用,如中国的数据中心政策指引数据中心企业向西部城市集中布局。
(3)聚集增长:是一种路径依赖式的空间选择方式,表现为数据中心企业选择已出现数据中心建设的区域进行布局,使得该区域的数据中心建设不断增长。一旦某区域出现了数据中心布局,后续在相应的空间尺度上即被认为是聚集式增长。聚集式空间选择方式的动力主要来源于所指向区域的聚集力[60],这些区域的市场需求、成本引力等聚集因子共同形成聚集性循环累积因果链,其中的聚集性循环累积效应促使数据中心向特定国家或城市集中布局[59]。与此同时,外部他组织力量也驱动聚集式空间选择的发生,如产业政策等引导数据中心企业向特定区域集中布局。
伴随着数据中心的全球扩张,在国家和城市尺度塑造出多种空间结构。全球尺度上形成以美国、中国、日本、英国、德国等系列国家为核心,印度、新加坡、澳大利亚、巴西等国家为边缘的“核心—边缘”结构。在城市尺度上,各国内部围绕大城市群、都会区形成多个“核心—边缘”结构或多核心结构,如在中国长三角形成以上海为核心枢纽,杭州、南通等城市为边缘的空间结构;在美国华盛顿都会区形成阿什本、斯特灵、马纳萨斯为主要枢纽城市的多核空间结构。然而在非洲等数据中心建设后发国家中,数据中心的城市分布仍以单核结构为主,即数据中心高度集中分布于少数城市。

4 全球数据中心扩张的影响因素

数据中心在全球多尺度的空间扩张反映了数据中心供应商区位选择的基本偏好,是理解数据中心多尺度空间区位选择的基础。基于此,结合全球数据中心区位选择导向,选择不同空间尺度数据中心区位选择的影响因子,并定量分析不同空间尺度下数据中心区位选择的影响因素差异。

4.1 国家选择的影响因素

数据中心扩张的国家选择主要受到市场规模、要素供给、运营环境共同影响,影响因素的作用方向和显著性水平表现出阶段性特征,随着时间的推移影响因素愈加多元(表2)。
表2 数据中心国家选择影响机制的负二项回归结果

Tab. 2 Regression result of the negative binomial spatial interaction models of country selection

解释变量 回归系数
2005—2010 2011—2015 2016—2020
市场规模 0.566***
(0.136)
0.482***
(0.089)
0.520***
(0.074)
网络条件 0.311***
(0.108)
0.194**
(0.086)
0.293***
(0.070)
电力条件 -0.003
(0.010)
-0.008
(0.005)
-0.025***
(0.006)
人力条件 0.002
(0.003)
0.010**
(0.004)
0.005*
(0.003)
交通条件 0.083*
(0.045)
0.082***
(0.028)
-0.049
(0.037)
技术条件 -0.068
(0.098)
0.001
(0.055)
0.212***
(0.045)
气候条件 -0.008
(0.014)
-0.007
(0.012)
-0.012
(0.010)
安全水平 0.102
(0.264)
0.098***
(0.026)
0.713***
(0.164)
样本量 52 67 71
伪对数似然值 -150.9890 -194.3495 -159.1356
R2 0.1926 0.2312 0.3017

注:***p < 0.01,**p < 0.05,*p < 0.1;括号内为z值。

市场规模方面,以互联网用户数衡量的市场规模对数据中心的国家选择始终表现出显著的正向作用,并且系数和显著性处于较高水平,表明数据中心具有强市场指向性,与其他服务业类似,数据中心运营商偏向于在具有广阔市场的国家(地区)布局数据中心[63],验证了H1假设。
要素供给方面,网络条件始终表现出显著的正向作用,其他各因素均表现出阶段性特征。其中电力条件仅在第三阶段表现为显著的负向影响,而在其他阶段不显著,交通条件在第三阶段表现为负向作用但未通过显著性检验,而在其他阶段表现为显著正向作用,表明数据中心的国家空间扩张过程中,受电力基础设施和交通基础设施的影响程度下降,可能的原因在于2016年以来全球数据中心在交通和电力基础设施相对较差的发展中国家中大幅扩张。随着数据中心的全球扩散,人力条件和技术条件逐渐显著,专业人才和先进技术对保障数据中心稳定运行的作用越来越重要[64]。部分验证了H2、H3假设。
运营环境方面,安全水平在第二、三阶段表现出显著的正向影响,表明出于对数据安全的考虑,数据中心更倾向于在政治稳定的国家(地区)进行布局,验证了H5假设。气候条件表现为负向影响,但未通过显著性检验,以平均气温表征的气候条件暂时不是影响数据中心国家选择的主要因素,与假设H4不符,可能的原因是,数据中心的国别选择大多需要综合市场规模为主的多种因素,与其他因素相比,以平均气温衡量的气候条件未能形成足够的吸引力。

4.2 城市选择的影响因素

数据中心城市选择受市场因素和生产要素因素影响显著,而受气候条件影响相对较弱(表3)。
表3 2016—2020年数据中心城市选择影响机制的负二项回归结果

Tab. 3 Regression result of the negative binomial spatial interaction models of city selection, 2016-2020

解释变量 回归系数
市场规模 0.088***(0.022)
网络条件 -0.006**(0.003)
电力条件 -2.332**(1.082)
人力条件 0.006*(0.003)
交通条件 0.001***(0.000)
技术条件 0.064***(0.024)
气候条件 -0.011(0.011)
安全水平 0.001*(0.005)
样本量 322
伪对数似然值 -533.4936
R2 0.1416

注:***p < 0.01,**p < 0.05,*p < 0.1;括号内为z值。

市场规模对数据中心的城市选择具有显著正向促进效应,且系数与显著性水平最高,表明全球化水平高的城市对数据中心产生了强大的吸引力,数据中心更倾向布局于经济发展水平高、对外经济联系密切的城市,表现出明显的市场指向[65],验证了H1假设。
要素供给对数据中心的城市选择影响显著。人力条件、交通条件、技术条件对数据中心城市选择具有显著正向影响,表明数据中心运营商为了保障其高效运营,倾向于布局在人力和技术水平高、交通便捷的城市,验证了H2假设。以价格表征的网络条件和电力条件对数据中心城市选择表现出显著的负向作用,表明数据中心为降低运营成本,倾向于向网络和电力价格低的城市布局数据中心[66],验证了H3假设。尽管受数据限制原因土地条件未纳入到模型之中,但从电力价格和网络价格的影响方向来看,土地价格可能会对数据中心城市选择产生负向影响,即数据中心城市选择表现出明显的生产要素指向。
运营环境中的气候条件和安全水平分别产生了负向和正向作用,但仅有安全水平通过显著性检验。表明为了保障数据中心运营安全,运营商倾向于将数据中心布局在较为安全的城市,验证了H5假设。而气候条件目前不是数据中心城市选择的主要因素,数据中心运营商为了降低成本,可能倾向于布局到气温低的城市,该结论与已有研究存在一定差异[21],与假设H4不符,但与国家选择的结果相一致,可能的原因是在市场需求牵引下综合各因素利弊后,气候因素未能形成足够的吸引力。尽管受限于数据可得性未将社会环境纳入模型,但根据已有理论研究,政策等因素会通过准入限制或优惠影响数据中心建设的城市选择[8]

4.3 多尺度影响因素对比

通过对比2016—2020年数据中心国别及城市选择的影响因素,不同空间尺度上作用因素存在一定差别。在市场规模与人力条件、技术条件等要素供给以及运营环境方面,国家尺度和城市尺度因使用的指标具有相似性使得结果表现出较强的一致性,均表现为显著的正向作用。而由于指标选取所产生的测量方式差异,要素供给方面回归结果产生了一定的差别。① 网络条件方面表现出相反的结果,这是因为在国别尺度上使用国际带宽衡量网络条件,而在城市尺度上使用互联网宽带价格衡量。表明数据中心倾向于在网络基础设施条件良好,费用较低的地区布局,与假设H2与H3一致[41-42]。② 电力条件方面,国别尺度使用通电率衡量,回归结果显著为负,可能的原因是数据中心在全球后发国家中大规模布局。而在城市尺度使用工业电力平均价格衡量,结果显著为负,反映了数据中心倾向于选择电力成本较低的城市进行布局,与假设H3一致[42]。③ 交通条件方面,随着全球互联网的快速扩散及数字经济的迅猛发展,数据中心越来越多在后发国家布局;而具体到城市尺度,依旧是偏向集中布局于各国市场规模较大的城市,这些城市通常具有较为发达的交通系统,因此结果存在一定的差异[43]

5 结论与讨论

5.1 结论

本文在梳理数据中心基本内涵与理论框架的基础上,基于全球数据中心数据,融合空间统计、空间分析和计量分析方法,探讨了数据中心在国家尺度和城市尺度空间扩张的演化特征,归纳了多尺度空间选择方式,定量分析了多尺度区位选择的影响因素。研究发现:
(1)全球尺度上,北美、西欧、东亚三大增长核心动力强劲,中国、美国、日本、英国等少数国家带动全球数据中心的增长,与此同时,伴随着全球数字经济的发展,印度、澳大利亚、巴西等国数据中心建设发展迅猛,成为区域增长的核心。经过多年的扩张演化,全球数据中心的空间分布由北美、西欧、东亚“三核心”格局成长为以东亚、北美、西欧为全球核心,印度、新加坡、澳大利亚、巴西等为区域中心的“三核心、多中心”空间格局,与全球互联网和数字经济发展水平的空间格局高度同配。
(2)城市尺度上,城市群、都市区是全球数据中心扩张的主要空间载体,围绕中国、美国、英国等国家的主要城市群与都会区,形成诸如北京、上海、多伦多、阿什本、伦敦等多个数据中心枢纽城市,与数字经济发展水平同样表现出高度的空间同配。随着数据中心在全球主要城市的布局建设,土地、电力等资源消耗问题逐渐受到重视,全球主要国家纷纷制定数据中心政策,数据中心出现向大城市周边城市扩张及向富能源低地租地区扩散的趋势。经过多年的扩张演化,数据中心的城市分布表现出明显的幂律分布特征,高度集中于上海、北京、阿什本等都市区、城市群核心城市及周边地区。
(3)全球数据中心在聚集力与分散力的共同作用下,在多尺度地域空间中的扩张遵循特定的演化规律,既表现路径依赖又存在路径创造,形成邻近扩张、点状生长和聚集增长等模式。不同空间扩张方式在多尺度空间上存在显著差异,全球尺度上,除非洲地区外的多数国家在2005年以来表现为聚集增长,而非洲地区因其互联网和数字经济发展水平相对较低,数据中心建设相对滞后,仍处于点状生长和接触扩张为主的阶段。城市尺度上,同样表现显著的路径依赖与路径创造。受市场、成本、政策等因素影响,数据中心在城市尺度上经历了由聚集到扩散的反复过程,即在发展阶段的初期在某些城市中聚集,随着市场饱和、成本上升、政策调整等,出现向周边邻近扩张或点状生长的空间选择方式,并形成循环反复过程。其中大城市周围中小城市更多表现为邻近扩张,而偏远的富能源低地租城市更多地表现为点状生长。
(4)全球数据中心空间扩张受市场规模、要素供给、运营环境等因素共同作用,并在多尺度空间中存在一定的差异。数据中心扩张国别选择影响因素的作用方向和显著性水平表现出阶段性特征,随着时间的推移,影响因素愈加多元。具体来看,市场规模、网络条件表现出显著的正向作用,人力条件、交通条件、技术条件和安全水平表现为阶段性的显著正向作用,气候条件因素表现不显著。城市尺度影响因素方面,市场规模、人力条件、交通条件、技术条件、安全水平表现出显著正向作用,以价格为表征的网络条件和电力条件表现显著的负向作用,气候条件因素表现同样不显著。综合国别与城市选择的影响因素,受测量方式差异影响,要素供给方面回归结果产生了一定的差别,但回归结果均表明,数据中心布局倾向于要素供给质量良好或要素成本相对低廉的区域。

5.2 讨论

本文对全球数据中心多尺度空间扩张演化规律进行了定量刻画,并检验了数据中心空间选择的影响因素。但受数据和篇幅所限,文章仍存在一定的不足:① 数据覆盖范围仍可扩展。本文数据使用多数据源整合而成,数据完整性有待进一步提升,可通过完善数据广度进而对全球数据中心进行更全面的刻画。② 空间扩张刻画仍需深入。文章仅从全球数据中心的整体扩张趋势进行探讨,对各国家、城市、企业的特殊性刻画仍可深入。③ 影响因素考虑尚不全面。受数据可靠性与可得性所限,在不同空间尺度上的测量方式存在差异,与此同时,未考虑区域政策、土地价格、市场竞争等因素及路径依赖等机制对数据中心空间扩张区位选择的影响。未来有待对不同规模和不同类型数据中心多空间尺度区位选择机制演化进行深入探讨。④ 值得注意的是,数据中心运营商在城市选择时,通常是在一国之内的城市间进行选择,可能会影响数据中心城市选择因素,未来需进行异质性分析。

感谢3位审稿专家针对本文理论框架、概念界定和方法论证等方面所提出的意见建议。

[1]
Liu Dexue, Wu Xumei. ICT and global value chain embedding of manufacturing industry: Empirical test based on the quantity and quality of ICT development. International Economics and Trade Research, 2021, 37(10): 70-85.

[刘德学, 吴旭梅. 信息通信技术与制造业全球价值链嵌入: 基于信息通信技术发展数量和质量的研究. 国际经贸探索, 2021, 37(10): 70-85.]

[2]
Seufert A, Poignée F, Hoßfeld T, et al. Pandemic in the digital age: Analyzing WhatsApp communication behavior before, during, and after the COVID-19 lockdown. Humanities and Social Sciences Communications, 2022, 9: 140. DOI: 10.1057/s41599-022-01161-0.

DOI

[3]
JPMORGAN. Media consumption in the age of COVID-19. (2020-05-01) [2022-04-25]. https://www.jpmorgan.com/insights/research/media-consumption

[4]
UNCTAD. Digital Economy Report 2021. (2021-09-29) [2022-04-25]. https://unctad.org/system/files/official-document/der2021_en.pdf

[5]
Hilbert M, López P. The world's technological capacity to store, communicate, and compute information. Science, 2011, 332(6025): 60-65.

DOI PMID

[6]
Hecht J. The bandwidth bottleneck that is throttling the Internet. Nature, 2016, 536(7615): 139-142.

DOI

[7]
Cavanillas J M, Curry E, Wahlster W. New Horizons for a Data-Driven Economy:A Roadmap for Usage and Exploitation of Big Data in Europe. Berlin: Springer Nature, 2016.

[8]
National Development and Reform Commission. Guiding Opinions on Accelerating the Construction of a National Integrated Big Data Center Collaborative Innovation System. (2022-01-12) [2022-02-28]. https://www.ndrc.gov.cn/xwdt/ztzl/dsxs/zcwj2/202201/t20220112_1311852.html?code=&state=123

[中华人民共和国国家发展和改革委员会. 关于加快构建全国一体化大数据中心协同创新体系的指导意见. (2022-01-12) [2022-02-28]. https://www.ndrc.gov.cn/xwdt/ztzl/dsxs/zcwj2/202201/t20220112_1311852.html?code=&state=123

[9]
Office of Management and Budget. Data Center Optimization Initiative.(2016-08-01) [2022-04-25]. https://datacenters.cio.gov/policy/m-16-19/

[10]
Wang Dewen. Basic framework and key technology for a new generation of data center in electric power corporation based on cloud computation. Automation of Electric Power Systems, 2012, 36(11): 67-71, 107.

[王德文. 基于云计算的电力数据中心基础架构及其关键技术. 电力系统自动化, 2012, 36(11): 67-71, 107.]

[11]
Wang Yue, Sheng Kai, Chang Jinfeng, et al. Application and development of key technologies in data center infrastructure. Information and Communications Technology and Policy, 2021, 47(4): 27-31.

[王月, 盛凯, 常金凤, 等. 数据中心基础设施关键技术应用及发展. 信息通信技术与政策, 2021, 47(4): 27-31.]

[12]
Wei Xianglin, Chen Ming, Fan Jianhua, et al. Architecture of the data center network. Journal of Software, 2013, 24(2): 295-316.

DOI

[魏祥麟, 陈鸣, 范建华, 等. 数据中心网络的体系结构. 软件学报, 2013, 24(2): 295-316.]

[13]
Bennaceur W M, Kloul L. Formal models for safety and performance analysis of a data center system. Reliability Engineering & System Safety, 2020, 193: 106643. DOI: 10.1016/j.ress.2019.106643.

DOI

[14]
Northern Virginia Technology Council. The Economic and Fiscal Contribution that Data Centers Make to Virginia. (2016-01-20) [2022-04-25]. http://biz.loudoun.gov/wp-content/uploads/2020/01/2016-Loudoun_DataCenters-NVTC-Report.pdf

[15]
Atkins E. Tracing the 'cloud': Emergent political geographies of global data centres. Political Geography, 2021, 86: 102306. DOI: 10.1016/j.polgeo.2020.102306.

DOI

[16]
Brodie P, Velkova J. Cloud ruins: Ericsson's Vaudreuil-Dorion data centre and infrastructural abandonment. Information, Communication & Society, 2021, 24(6): 869-885.

[17]
Zeng Jianpeng, Wang Jiandong, Huang Qianqian, et al. Building a digital bay area: Key issues and path construction for the construction of big data centers in the Guangdong-Hong Kong-Macao Greater Bay Area. E-Government, 2021(6): 29-38.

[曾坚朋, 王建冬, 黄倩倩, 等. 打造数字湾区: 粤港澳大湾区大数据中心建设的关键问题与路径建构. 电子政务, 2021(6): 29-38.

[18]
Bast D, Carr C, Madron K, et al. Four reasons why data centers matter, five implications of their social spatial distribution, one graphic to visualize them. Environment and Planning A: Economy and Space, 2022, 54(3): 441-445.

DOI

[19]
Furlong K. Geographies of infrastructure II: Concrete, cloud and layered (in)visibilities. Progress in Human Geography, 2021, 45(1): 190-198.

DOI

[20]
Malecki E J. The economic geography of the internet's infrastructure. Economic Geography, 2002, 78(4): 399-424.

[21]
Li C L, Yu X B, Zhao W X. An integrated approach to site selection for a big data center using PROMETHEE-MCGP methodology. Journal of Intelligent & Fuzzy Systems: Applications in Engineering and Technology, 2021, 41(6): 6495-6515.

[22]
Chen Shuai, Guo Qiquan, Gao Chundong, et al. Contentions of cyberspace resources in global geopolitical game. Science & Technology Review, 2021, 39(22): 85-93.

[陈帅, 郭启全, 高春东, 等. 地缘博弈中的全球网络空间资源争夺. 科技导报, 2021, 39(22): 85-93.]

[23]
Song Yaodong, Zhao Xin, Deng Guoqing. Discussion on the construction and operation mode of geospatial big data center in Shaanxi Province. Geospatial Information, 2020, 18(1): 1-5, 8.

[宋耀东, 赵鑫, 邓国庆. 陕西省地理空间大数据中心建设运行模式探讨. 地理空间信息, 2020, 18(1): 1-5, 8.]

[24]
Fan Jie, Zhao Pengjun, Zhou Shangyi, et al. Disciplinary structure and development strategy of human geography in China. Acta Geographica Sinica, 2021, 76(9): 2083-2093.

DOI

[樊杰, 赵鹏军, 周尚意, 等. 人文地理学学科体系与发展战略要点. 地理学报, 2021, 76(9): 2083-2093.]

DOI

[25]
Liu Chengliang, Yan Shanshan. Spatial evolution and determinants of transnational technology transfer network in China. Acta Geographica Sinica, 2022, 77(2): 331-352.

DOI

[刘承良, 闫姗姗. 中国跨国城际技术通道的空间演化及其影响因素. 地理学报, 2022, 77(2): 331-352.]

DOI

[26]
Wang Tao, Liu Chengliang, Du Debin. Spatio-temporal dynamics of international freshwater conflict events and relations from 1948 to 2018. Acta Geographica Sinica, 2021, 76(7): 1792-1809.

DOI

[王涛, 刘承良, 杜德斌. 1948—2018年国际河流跨境水冲突的时空演化规律. 地理学报, 2021, 76(7): 1792-1809.]

DOI

[27]
Liu Tao, Peng Rongxi, Zhuo Yunxia, et al. China's changing population distribution and influencing factors: Insights from the 2020 census data. Acta Geographica Sinica, 2022, 77(2): 381-394.

DOI

[刘涛, 彭荣熙, 卓云霞, 等. 2000—2020年中国人口分布格局演变及影响因素. 地理学报, 2022, 77(2): 381-394.]

DOI

[28]
Xia Qifan, Du Debin, Duan Dezhong, et al. Evolution and influencing factors of China's foreign trade in rare earth metals. Acta Geographica Sinica, 2022, 77(4): 976-995.

DOI

[夏启繁, 杜德斌, 段德忠, 等. 中国稀土对外贸易格局演化及影响因素. 地理学报, 2022, 77(4): 976-995.]

DOI

[29]
Chen Jiangping, Zhang Yao, Yu Yuanjian. Effect of MAUP in spatial autocorrelation. Acta Geographica Sinica, 2011, 66(12): 1597-1606.

DOI

[陈江平, 张瑶, 余远剑. 空间自相关的可塑性面积单元问题效应. 地理学报, 2011, 66(12): 1597-1606. ]

[30]
Liu Kai, Qin Yaochen. On scale characteristics of geographic information. Geography and Geo-Information Science, 2010, 26(2): 1-5.

[刘凯, 秦耀辰. 论地理信息的尺度特性. 地理与地理信息科学, 2010, 26(2): 1-5.]

[31]
Song Weixuan, Huang Qinshi, Gu Yue, et al. A comparison study on residential differentiation at multiple spatial and temporal scales in Nanjing and Hangzhou. Acta Geographica Sinica, 2021, 76(10): 2458-2476.

DOI

[宋伟轩, 黄琴诗, 谷跃, 等. 宁杭城市多时空尺度居住空间分异与比较. 地理学报, 2021, 76(10): 2458-2476.]

DOI

[32]
Li Bo, Wang Jianmin, Duan Yanfei. New Infrastructure:The Era of Big Data Center. Beijing: Publishing House of Electronics Industry, 2021.

[李博, 王建民, 段炎斐. 新基建:大数据中心时代. 北京: 电子工业出版社, 2021.]

[33]
Ministry of Industry and Information Technology of the People's Republic of China Division for Information and Communication Development. National Data Center Application Development Guide 2020. Beijing: Posts & Telecom Press, 2020.

[工业和信息化部信息通信发展司. 全国数据中心应用发展指引2020. 北京: 人民邮电出版社, 2020.]

[34]
Jones P, Comfort D, Hillier D. The changing geography of data centres in the UK. Geography, 2013, 98(1): 18-23.

DOI

[35]
Wang Weiling, Wang Yuxia, Gao Yingmai. Big data center under the context of 'New Infrastructure': Significance, difficulties and approaches. Administration Reform, 2020(10): 68-74.

[王伟玲, 王宇霞, 高婴劢. 基于“新基建”情境的大数据中心: 意义、困境和进路. 行政管理改革, 2020(10): 68-74.]

[36]
Liao Maolin, Zhang Mingyuan. The influence of COVID-19 epidemic on China's economic growth. Fujian Tribune (The Humanities & Social Sciences), 2020(4): 25-33.

[廖茂林, 张明源. 新冠肺炎疫情对中国经济增长的影响. 福建论坛(人文社会科学版), 2020(4): 25-33.]

[37]
Han Huiran, Yang Chengfeng, Song Jinping. Impact factors of location choice and spatial pattern evolution of wholesale enterprises in Beijing. Acta Geographica Sinica, 2018, 73(2): 219-231.

DOI

[韩会然, 杨成凤, 宋金平. 北京批发企业空间格局演化与区位选择因素. 地理学报, 2018, 73(2): 219-231.]

DOI

[38]
Wang Shijun, Hao Feilong, Jiang Lili. Locations and their determinants of large-scale commercial sites in Changchun, China. Acta Geographica Sinica, 2015, 70(6): 893-905.

DOI

[王士君, 浩飞龙, 姜丽丽. 长春市大型商业网点的区位特征及其影响因素. 地理学报, 2015, 70(6): 893-905.]

DOI

[39]
Chen Xiuying, Miao Zhenlong. Spatial distribution of digital economic growth dynamics and regional income. Acta Geographica Sinica, 2021, 76(8): 1882-1894.

DOI

[陈修颖, 苗振龙. 数字经济增长动力与区域收入的空间分布规律. 地理学报, 2021, 76(8): 1882-1894.]

DOI

[40]
Hou Jingchuan, Lv Xiang, Yan Yuli. Achievements in and strategies for the construction of Shanghai stock trading system: A perspective of building an international financial center. China Soft Science, 2012(5): 10-21.

[侯经川, 吕想, 严玉丽. 上海证券交易系统的建设进展及对策研究: 基于上海建设国际金融中心的战略视角. 中国软科学, 2012(5): 10-21.]

[41]
Deng Wei, Liu Fangming, Jin Hai, et al. Leveraging renewable energy in cloud computing datacenters: State of the art and future research. Chinese Journal of Computers, 2013, 36(3): 582-598.

DOI

[邓维, 刘方明, 金海, 等. 云计算数据中心的新能源应用: 研究现状与趋势. 计算机学报, 2013, 36(3): 582-598.]

[42]
Shehabi A, Smith S J, Masanet E, et al. Data center growth in the United States: Decoupling the demand for services from electricity use. Environmental Research Letters, 2018, 13(12): 124030. DOI: 10.1088/1748-9326/aaec9c.

DOI

[43]
Covas M T, Silva C A, Dias L C. Multicriteria decision analysis for sustainable data centers location. International Transactions in Operational Research, 2013, 20(3): 269-299.

DOI

[44]
Avgerinou M, Bertoldi P, Castellazzi L. Trends in data centre energy consumption under the European code of conduct for data centre energy efficiency. Energies, 2017, 10(10): 1470. DOI: 10.3390/en10101470.

DOI

[45]
Kheybari S, Davoodi Monfared M, Farazmand H, et al. Sustainable location selection of data centers: Developing a multi-criteria set-covering decision-making methodology. International Journal of Information Technology & Decision Making, 2020, 19(3): 741-773.

[46]
Li Yiqi, Yu Jianhui, Zhang Wenzhong. Spatial impact of airport facilities' NIMBY effect on residential prices: A case study of Beijing Capital International Airport. Geographical Research, 2021, 40(7): 1993-2004.

DOI

[李伊祺, 余建辉, 张文忠. 机场设施邻避效应对北京市住宅价格空间影响研究: 以北京首都国际机场为例. 地理研究, 2021, 40(7): 1993-2004.]

DOI

[47]
Wei Daojiang, Kang Chengye, Li Huimin. The relationship between self-organization and hetero-organization and its enlightenment to management. Chinese Journal of Systems Science, 2014, 22(2): 45-48.

[魏道江, 康承业, 李慧民. 自组织与他组织的关系及其对管理学的启示. 系统科学学报, 2014, 22(2): 45-48.]

[48]
Liu Chengliang. Spatial Complexity of Urban-rural Road Network. Shanghai: Shanghai Popular Science Press, 2017.

[刘承良. 城乡路网系统的空间复杂性. 上海: 上海科学普及出版社, 2017 ]

[49]
Wang Boyun, Liu Tianyu, Li Luning, et al. Spatial and temporal patterns and factors influencing the spread of the COVID-19 pandemic in China. Acta Geographica Sinica, 2022, 77(2): 443-456.

DOI

[王博云, 刘天禹, 李露凝, 等. 中国COVID-19疫情扩散的时空模式及影响因素. 地理学报, 2022, 77(2): 443-456.]

DOI

[50]
Liu Chengliang, Gui Qinchang, Duan Dezhong, et al. Structural heterogeneity and proximity mechanism of global scientific collaboration network based on co-authored papers. Acta Geographica Sinica, 2017, 72(4): 737-752.

DOI

[刘承良, 桂钦昌, 段德忠, 等. 全球科研论文合作网络的结构异质性及其邻近性机理. 地理学报, 2017, 72(4): 737-752.]

DOI

[51]
Duan Dezhong, Du Debin, Liu Chengliang. Spatial-temporal evolution mode of urban innovation spatial structure: A case study of Shanghai and Beijing. Acta Geographica Sinica, 2015, 70(12):1911-1925.

DOI

[段德忠, 杜德斌, 刘承良. 上海和北京城市创新空间结构的时空演化模式. 地理学报, 2015, 70(12): 1911-1925.]

DOI

[52]
Liu Chengliang, Yu Ruilin, Xiong Jianping, et al. Spatial accessibility of road network in Wuhan metropolitan area. Acta Geographica Sinica, 2009, 64(12): 1488-1498.

[刘承良, 余瑞林, 熊剑平, 等. 武汉都市圈路网空间通达性分析. 地理学报, 2009, 64(12): 1488-1498.]

DOI

[53]
Huang Xiaodong, Du Debin, Liu Chengliang. The evolution process and growth mechanism of global cross-border M&A network. Acta Geographica Sinica, 2021, 76(10): 2536-2550.

DOI

[黄晓东, 杜德斌, 刘承良. 全球跨境并购网络的空间格局演化及形成机制. 地理学报, 2021, 76(10): 2536-2550.]

DOI

[54]
Duan Dezhong, Du Debin, Chen Ying, et al. Spatial-temporal complexity and growth mechanism of city innovation network in China. Scientia Geographica Sinica, 2018, 38(11): 1759-1768.

DOI

[段德忠, 杜德斌, 谌颖, 等. 中国城市创新网络的时空复杂性及生长机制研究. 地理科学, 2018, 38(11): 1759-1768.]

DOI

[55]
Liu Chengliang, Niu Caicheng. Spatial evolution and factors of interurban technology transfer network in Northeast China from national to local perspectives. Acta Geographica Sinica, 2019, 74(10): 2092-2107.

DOI

[刘承良, 牛彩澄. 东北三省城际技术转移网络的空间演化及影响因素. 地理学报, 2019, 74(10): 2092-2107.]

DOI

[56]
Hensher D A, Stopher P R. Behavioural Travel Modelling. London: Routledge, 2021.

[57]
Li Xiangyang. Prospects of the world's economic center of gravity moving eastward. International Economic Review, 2011(1):7-16, 3.

[李向阳. 全球经济重心东移的前景. 国际经济评论, 2011(1): 7-16, 3.]

[58]
Doong S H, Ho S C. The impact of ICT development on the global digital divide. Electronic Commerce Research and Applications, 2012, 11(5): 518-533.

DOI

[59]
An Husen. New Regional Economics. 3rd ed. Dalian: Dongbei University of Finance & Economics Press, 2015.

[安虎森. 新区域经济学. 3版. 大连: 东北财经大学出版社, 2015]

[60]
Zhou You, Zhang Min. The research of centralization and diffusion laws to the economic central city. Journal of Nanjing Normal University (Social Science Edition), 2000(4): 16-22.

[周游, 张敏. 经济中心城市的集聚与扩散规律研究. 南京师大学报(社会科学版), 2000(4): 16-22.]

[61]
Wang Jiaoe, Du Delin, Wei Ye, et al. The development of COVID-19 in China: Spatial diffusion and geographical pattern. Geographical Research, 2020, 39(7): 1450-1462.

DOI

[王姣娥, 杜德林, 魏冶, 等. 新冠肺炎疫情的空间扩散过程与模式研究. 地理研究, 2020, 39(7): 1450-1462.]

DOI

[62]
Wu Kangmin, Zhang Hongou, Wang Yang, et al. Identify of the multiple types of commercial center in Guangzhou and its spatial pattern. Progress in Geography, 2016, 35(8): 963-974.

DOI

[吴康敏, 张虹鸥, 王洋, 等. 广州市多类型商业中心识别与空间模式. 地理科学进展, 2016, 35(8): 963-974.]

DOI

[63]
Fan Xiucheng, Wang Ying. International comparison between the location mode selections for productive service sector. International Economics and Trade Research, 2007, 23(5): 4-8.

[范秀成, 王莹. 生产性服务业区位模式选择的国际比较. 国际经贸探索, 2007, 23(5): 4-8.]

[64]
Du Debin. Research on the Location Mode of R&D Globalization of Multinational Corporations. Shanghai: Fudan University Press, 2001.

[杜德斌. 跨国公司R&D全球化的区位模式研究. 上海: 复旦大学出版社, 2001.]

[65]
Sheng Wei. Research on location selection for international expansion of producer service industry[D]. Shanghai: Shanghai Academy of Social Sciences, 2010.

[盛维. 生产者服务业国际化扩张区位选择研究[D]. 上海: 上海社会科学院, 2010.]

[66]
Jones N. How to stop data centres from gobbling up the world's electricity. Nature, 2018, 561(7722): 163-166.

DOI

文章导航

/