气候变化与地表过程

黄河下游水沙关系模型参数随河段距离变化规律

  • 申红彬 , 1 ,
  • 曹兵 2 ,
  • 吴华莉 3 ,
  • 乔伟 3
展开
  • 1.华北水利水电大学,郑州 450045
  • 2.东营市水务局,东营 257091
  • 3.长江科学院,武汉 430010

申红彬(1981-), 男, 河南安阳人, 博士, 讲师, 主要从事水文学、河流动力学方面的研究工作。E-mail:

收稿日期: 2021-02-22

  要求修回日期: 2021-12-30

  网络出版日期: 2022-05-23

基金资助

国家自然科学基金项目(51809013)

城市水循环与海绵城市技术北京市重点实验室开放基金(HYD2019OF02)

版权

版权所有,未经授权,不得转载、摘编本刊文章,不得使用本刊的版式设计。

Parameters variation law with distance in the discharge-sediment relation model of the Lower Yellow River

  • SHEN Hongbin , 1 ,
  • CAO Bing 2 ,
  • WU Huali 3 ,
  • QIAO Wei 3
Expand
  • 1. North China University of Water Resources and Electric Power, Zhengzhou 450045, China
  • 2. Dongying Water Authority, Dongying 257091, Shandong, China
  • 3. Changjiang (Yangtze) River Scientific Research Institute, Wuhan 430010, China

Received date: 2021-02-22

  Request revised date: 2021-12-30

  Online published: 2022-05-23

Supported by

National Natural Science Foundation of China(51809013)

Opening Foundation of Beijing Key Laboratory of Urban Hydrological Cycle and Sponge City Technology(HYD2019OF02)

Copyright

Copyright reserved © 2022

摘要

对于多沙河流或河段,水沙关系模型多表示为考虑来水含沙量的幂律函数形式:Qs=KSuaQb,本质反映了河道的不平衡输沙规律,模型参数变化主要受到河道边界条件的影响。河段距离作为反映沿程空间尺度的一个重要指标,对模型系数K与指数ab具有重要的影响。以黄河下游河道为研究对象,分析研究了模型系数K与指数ab随河段距离的变化规律与计算方法,并用于黄河下游河道输沙沿程变化模拟。模型参数变化规律分析表明:指数a随河段距离的增大而减小,两者呈指数负相关关系;系数K随河段距离的增大而减小,且与指数a呈指数正相关关系;指数b随河段距离的增大而增大,且与指数a呈线性负相关关系,两者之和约为2.0。通过建立模型系数K与指数ab随河段距离变化的计算表达式,构成了考虑来水含沙量的水沙关系模型的参数条件补充方程。对黄河下游河道输沙沿程变化模拟结果表明,黄河下游河道沿程含沙量的计算值与实测值变化趋势基本符合,确定性系数R2值可以达到0.96,Nash-Sutcliffe效率系数NSE值在0.93以上,模拟效果良好。研究结果有助于深入认识考虑来水含沙量的水沙关系模型参数的物理意义与探索模型参数的确定方法。

本文引用格式

申红彬 , 曹兵 , 吴华莉 , 乔伟 . 黄河下游水沙关系模型参数随河段距离变化规律[J]. 地理学报, 2022 , 77(3) : 635 -649 . DOI: 10.11821/dlxb202203010

Abstract

The discharge-sediment relation model is an important research technique in river dynamics. Previous studies established a statistical relationship between the sediment transport rate and the flow discharge that follows a power-law form, shown as Qs=AQ b. Studies have also shown that how to determine the model parameters is an important question. However, for heavy sediment-laden rivers, the discharge-sediment relation model is often expressed by a modified power-law relationship between the sediment transport rate and flow discharge, as well as an upstream sediment supply function: Qs=KSuaQb, where the model parameters become more complex. Essentially, the modified model reflects a non-equilibrium sediment transport law, and model parameters including coefficient K and exponents a and b are mainly influenced by river boundary geomorphologic conditions. As an important index reflecting the spatial scale along the river, distance has an important impact on the modified model parameters, namely, coefficient K and exponents a and b. Taking the Lower Yellow River as the research object, we studied the variation laws of the model coefficient K and indexes a and b with distance. The results showed that the exponent a decreases exponentially with the increase of downstream distance; the coefficient K decreases with the increase of downstream distance and has a positive exponential correlation with the exponent a; the exponent b increases with the increase of downstream distance and has a negative linear correlation with the exponent a; and the sum of exponents a and b is about 2.0. From that, the calculation expressions of model coefficient K and exponents a and b varying with the distance were established. As such, it can be regarded as the parameter supplementary equations for the discharge-sediment relation model. Simulation results of sediment transport along the Lower Yellow River showed that the trend of calculated sediment concentrations are consistent with that of measured sediment concentrations. The values of the determination coefficient and Nash-Sutcliffe efficiency are 0.96 and 0.93, respectively. This study helps us to have a better understanding of the physical meaning and exploration of calculation methods for the discharge-sediment relation model parameters in heavy sediment-laden rivers.

1 引言

水沙关系模型是通过数学模型的形式来反映河道流量与其携带泥沙含量之间的关系,现行常用的大多数输沙经验模型均以此关系为基础,是河流动力学与河床演变学的重要研究内容之一[1]。以往水沙关系模型往往表示为输沙率(或含沙量)与流量之间的幂律函数关系:Qs=AQmQs为输沙率;Q为流量;A为系数;m为指数)。不少研究表明,不同河流或河段的水沙关系模型参数(幂律函数系数、指数)往往表现出明显的时空差异性[1,2,3,4],具体表现在:对于河床比降陡峭、侵蚀强度较大、断面窄深的河流或河段,水沙关系模型往往对应较大的曲率(高指数值),而对于河床坡降平缓、以淤积为主、断面宽浅的河流或河段,水沙关系模型的指数值则相对较低[5,6,7]。由于河流来水来沙是流域气候因素与下垫面自然地理因素综合作用的结果,水沙关系模型也可表示为输沙量与降雨量之间的幂律函数关系,同时有学者认为可以从河流地貌学角度分析水沙关系模型中参数的变化规律[8,9,10]。如今,地貌条件参数化已经成为完善水沙关系模型的一条重要途径。不过,对于多沙河流或河段,流量与输沙率(或含沙量)之间的关系则更为复杂,还需考虑来水含沙量的影响[11,12],水沙关系模型通常可表示为:Qs=KSuaQbSu为上站来水含沙量;K为系数;ab为指数),模型参数的变化规律也更为复杂。如今,对于考虑来水含沙量的水沙关系模型参数变化规律的研究仍相对较少。从本质上来看,考虑来水含沙量的水沙关系模型更多反映了河道的不平衡输沙规律,受到河道边界条件(如河长、比降、河宽、水深等)的重要影响,模型参数变化也与河道边界条件有关[13]。因此,对于考虑来水含沙量的水沙关系模型,如何从河道边界条件影响角度出发,研究模型参数的确定方法,实现河道边界条件的参数化就成为一个有待研究的方向。
黄河下游河道作为上中游流域产水产沙输送入海的一条重要通道,是典型的多沙河流,流量与输沙率(或含沙量)之间关系复杂,具有“多来多淤多排、少来少淤少排”的输沙特性,建立水沙关系模型需采用考虑上站来水含沙量的幂律函数形式[14,15,16,17]Qs=KSuaQb。以往模型参数(系数K与指数ab)取值多对黄河下游不同河段,分别采用实测水沙资料率定,结果表明不同河段、不同时期的系数K与指数ab值差别较大[15,16,17],存在较大的不确定性。其中,指数a值的变化范围在0.55~0.95之间,指数b值的变化范围在1.1~1.6之间,两指数之和基本位于2.0附近[18,19]。参数率定方法存在的主要问题为:难以揭示出系数K与指数ab的变化规律,难以给出系数K与指数ab的确定方法,难以推进对模型参数物理意义的认知与理解,阻碍了水沙关系模型在黄河下游河道中的推广应用。现有不少研究认为,系数K与指数ab实质上是反映河流边界条件影响的重要参数,其中系数K主要与河槽累积冲淤量有关,指数ab主要与河槽断面形态、河段长度等因素有关。为此,有研究者拟合建立了系数K与河槽累积冲淤量之间的指数函数关系,并用于黄河下游河道输沙与冲淤过程的模拟[20,21];还有学者对指数ab的变化规律与确定方法进行了一定的分析研究与理论探索[22,23]。这为从河流边界条件参数化角度研究系数K与指数ab的变化规律提供了基础与方向。在上述研究中,存在较大不足是少有关注河段距离对系数K与指数ab的影响。实质上,河段距离作为反映沿程空间尺度的一个重要指标,对输沙率(或含沙量)的沿程分布具有重要的影响。分析研究河段距离对系数K与指数ab的影响,是使得考虑来水含沙量的水沙关系模型用于输沙模拟时能够在沿程尺度上更趋精细的关键。
本文以黄河下游河道为研究对象,对其考虑来水含沙量的水沙关系模型:Qs=KSuaQb,通过分析比较不同距离河段模型系数K与指数ab的值,深入研究系数K与指数ab随河段距离的变化规律与计算方法,揭示水沙关系沿程由不平衡向平衡的调整过程。研究结果对于深入认识多沙河流考虑来水含沙量的水沙关系模型参数的物理意义、探索模型参数的确定方法均具有重要的参考意义与实用价值。

2 研究区域概况

黄河下游河道西起河南省郑州市桃花峪,东至山东省东营市垦利县入海口,全长785.6 km,平均比降0.12‰,沿程分布有花园口、夹河滩、高村、孙口、艾山、泺口、利津等多个水文站,参见图1。黄河下游河道流域面积仅有2.3万 km2,约占黄河流域总面积79.5万 km2(上游38.6万 km2、中游34.4万 km2)的3%,径流水量主要来自上游兰州以上地区、秦岭北麓以及洛河、沁河地区,占比约为53%,泥沙大多源自中游黄土高原地区,区间增沙量可占到总沙量的90%以上。黄河下游河道水沙异源、水少沙多特征明显,是典型的多沙河流,加之水沙搭配不协调,致使泥沙淤积问题严重,发展成为举世闻名的“地上悬河”,其水沙关系问题长期是研究和关注的重点。
图1 黄河下游河道示意图

Fig. 1 Sketch map of the Lower Yellow River

黄河下游河道按照平面型态的不同可以分为游荡型、过渡型、弯曲型、河口型4种类型河段 [24]:① 游荡型河段自桃花峪至高村,全长206.5 km,平均比降0.198‰,两岸堤距5~14 km,主槽宽度0.8~2.5 km,河道断面宽浅,水流散乱,主流摆动频繁,摆动幅度可达5~7 km,河段内设花园口、夹河滩、高村3个水文站;② 过渡型河段自高村至陶城铺,是游荡型河段向弯曲型河段的过渡河段,全长165 km,平均比降0.12‰,两岸堤距1~8.5 km,主槽宽度0.5~1.6 km,河槽断面基本为单一形状,由于大力兴建河道整治工程,河势基本得到控制,主流摆动幅度相比游荡型河段明显减少,河段内设孙口1个水文站;③ 弯曲型河段自陶城铺至利津,全长286.7 km,平均比降0.11‰,两岸堤距0.45~5 km,主槽宽度0.3~0.8 km,河道内建有大量的控导工程,控导长度约占河道长度的70%,整个河道弯曲、槽窄,冬季易冰封阻水,是黄河下游防凌的重点河段,河段内设艾山、泺口、利津3个水文站;④ 利津以下为河口河段,为典型的多沙弱潮型河口,输沙规律相对复杂,河段内虽设有大量观测断面,但无水文站,难以获取沿程水沙资料,本文暂不考虑。黄河下游河道河口段以上不同类型河段的特征参数可参见表1
表1 黄河下游河道不同河段特征参数

Tab. 1 Characteristic parameters for different reaches in the Lower Yellow River

类型 河段 分河段 距离(km) 平均比降(‰) 主槽河宽(km)
游荡型 桃花峪—高村 桃花峪—花园口 28.6 0.198 0.8~2.5
花园口—夹河滩 100.8
夹河滩—高村 77.1
过渡型 高村—陶城铺 高村—孙口 118.2 0.120 0.5~1.6
孙口—陶城铺 46.8
弯曲型 陶城铺—利津 陶城铺—艾山 17.1 0.110 0.3~0.8
艾山—泺口 101.8
泺口—利津 167.8

3 数据来源与研究方法

3.1 数据来源与分析

本文使用数据主要来源于水利部发布的中国河流泥沙公报( http://www.mwr.gov.cn/sj/tjgb/zghlnsgb/)和黄河水利委员会发布的黄河泥沙公报( http://www.yrcc.gov.cn/zwzc/gzgb/gb/nsgb/),并补充收集了部分相关数据。数据类别主要包括年径流量、年均流量、年输沙量、年均含沙量、年均输沙率、年均中值粒径等。选择黄河下游河道花园口、高村、艾山和利津4个水文站作为建模时的基本水文站,以夹河滩、孙口、泺口3个水文站作为模型验证时的补充检验水文站。
图2a~2d分别为黄河下游河道花园口、高村、艾山和利津四个基本水文站在1950—2020年期间历年来水(年均流量)来沙(年均含沙量)变化情况。其中,1960年、1965年与1974年分别为三门峡水库3种运用方式(蓄水运用、滞洪排沙、蓄清排浑)的起始时间,1986年为上游龙羊峡水库(位于青海省共和县和贵南县交界处)投入运用时间,1999年底为小浪底水库投入运用时间。可以看出,20世纪80年代以来,黄河下游河道各水文站来水来沙总体呈现出减少的趋势,在小浪底水库投入运行后,径流量有所恢复,但泥沙减小趋势更为明显。
图2 黄河下游河道历年来水来沙变化情况

Fig. 2 Temporal changes of runoff and sediment concentration in the Lower Yellow River

图3a、3b分别为1950—2020年期间划分不同时段内黄河下游河道花园口、高村、艾山和利津4个基本水文站时均流量与时均含沙量的沿程分布变化情况。其中,1950—1959年近似为天然时期,1960—1964年为三门峡水库蓄水运用阶段,1965—1973年为三门峡水库滞洪排沙阶段,1974—1985年为三门峡水库蓄清排浑阶段,1986—1999年为龙羊峡水库投入运用阶段,2000年以后为小浪底水库投入运用阶段。可以看出,对于黄河下游河道时均流量的沿程变化情况,在20世纪60年代中期以前略有增加,60年代中期以后减小趋势明显;对于黄河下游河道时均含沙量的沿程变化情况,主要与不同时段花园口进口水文站来水含沙量大小有关,当花园口水文站来水含沙量较小时下游河道含沙量沿程不断增加,当花园口水文站来水含沙量较大时下游河道含沙量沿程则不断减少。
图3 黄河下游河道水沙沿程分布变化情况

Fig. 3 Longitudinal variation of runoff and sediment concentration in the Lower Yellow River

3.2 研究方法

3.2.1 理论分析方法 对黄河下游河道不同河段建立水沙关系模型,多将一定时段(如:年、季、月、日等)内的时均输沙率表示为考虑上站时均来水含沙量的幂律函数形式[14,15,16,17]
Q S = K S u a Q b
式中:QS为出口断面时均输沙率(流量与含沙量乘积)(kg/s);Q为出口断面时均流量,(m3/s);Su为上站时均来水含沙量(kg/m3);K为输沙系数;ab分别为输沙指数。
式(1)也可进一步表示为含沙量形式:
S = K S u a Q b - 1 = K S u a Q c
式中:S为出口断面时均含沙量(kg/m3);Q为出口断面时均流量(m3/s);c为输沙指数,c = b-1。
式(1)~(2)反映了相对空间的概念。如对某河道可以等同划分为n个河段,不同河段断面编号分别为0、1、2、…、n,各河段的长度相同,均为Δx,断面形态相同,各河段对应模型式(2)中的参数相同,均为Kac,暂不考虑流量的沿程变化,则基于式(2)依次递推,可以得到以下关系[13]
S n = K S n - 1 a Q c = = K i = 0 n - 1 a i S 0 a n Q c i = 0 n - 1 a i = K 1 - a n 1 - a S 0 a n Q c 1 - a n 1 - a
式中:Snn河段出口断面时均含沙量(kg/m3);S0为初始断面时均来水含沙量(kg/m3);n为河道划分河段数;i为迭代计算序号。
如对该河道划分河段进一步取为单位长度:Δx = 1.0,则河道长度x = nΔx = n,单位长度河段对应模型式(2)中的参数均为 K ̂ a ̂ c ̂,代入式(3)可以进一步表示为:
S ( x ) = K ̑ 1 - a ̑ x 1 - a ̑ S 0 a ̑ x Q c ̑ 1 - a ̑ x 1 - a ̑
式中:S(x)x距离出口断面时均含沙量(kg/m3);x为河段距离; K ̂ a ̂ c ̂分别为单位长度河段输沙系数、指数。
在式(4)中,不同距离x河段输沙系数K及指数ab可表示为:
K ( x ) = K ̑ 1 - a ̑ x 1 - a ̑
a ( x ) = a ̑ x
c ( x ) = c ̑ 1 - a ̑ x 1 - a ̑
b ( x ) = c ( x ) + 1 = 1 + c ̑ 1 - a ̑ x 1 - a ̑
式中:K(x)a(x)b(x)c(x)分别为距离x河段输沙系数与指数。
3.2.2 线性回归方法 对式(1)两侧取对数,可以得到:
lg Q s = a lg S u + b lg Q + lg K
式(9)为二元线性函数,依黄河下游河道不同水文站可以划分为不同的河段,并根据各水文站不同时段内的时均流量、含沙量与输沙率实测资料,通过取对数并进行二元线性回归,可以得到黄河下游河道不同河段水沙关系模型系数K及指数ab的率定值。

3.3 模型效果评价

确定黄河下游河道不同河段考虑来水含沙量的水沙关系模型参数后,分别采用确定性系数R2与Nash-Sutcliffe效率系数NSE对模型输沙模拟效果进行量化评价[25,26,27]。其中,确定性系数R2是评价模拟效果最为基本的定量化指标,可以利用Excel软件对输沙率计算值与实测值进行线性回归,直接得到回归方程的确定性系数R2值,R2值在0~1.0之间,R2值越趋近于1.0说明模拟值与实测值拟合越好;Nash-Sutcliffe效率系数NSE值是判定残差与实测值数据方差相对量的标准化统计值,计算公式如式(10)所示,NSE值一般在 -∞~1.0之间,当NSE=1.0时说明模拟值与实测值完全吻合,当NSE > 0.5时说明模拟结果在可以接受的水平内,当NSE>0时说明模拟结果有效,当NSE ≤ 0时说明模拟值与实测值存在较大偏差。
NSE = 1 - i = 1 n Q sc i - Q so i 2 i = 1 n Q so i - 1 n i = 1 n Q so i 2
式中:NSE为Nash-Sutcliffe效率系数;Qsoii时段时均输沙率实测值(kg/s);Qscii时段时均输沙率计算值(kg/s);n为样本总数;i为时段序号。

4 研究结果与讨论

4.1 模型参数统计结果

以黄河下游河道花园口、高村、艾山和利津四个基本水文站为断面节点,划分为花园口—高村、花园口—艾山、花园口—利津、高村—艾山、高村—利津、艾山—利津6个不同河段。其中,花园口—高村、高村—艾山、艾山—利津为3个基本河段,其它3个河段作为扩展河段。以年为分析时段,统计黄河下游河道不同河段考虑来水含沙量的水沙关系模型方程式(1)中系数K及指数ab值,如表2所示。其中,3个基本河段的模型系数K与指数ab值直接参考文献[17]的线性回归率定结果,3个扩展河段的模型系数K与指数ab通过递推计算得到。文献[17]还给出了花园口—利津河段的模型系数K及指数ab值的回归率定结果,经与递推结果比较,发现两者较为接近,这说明递推计算结果是合理的。从表2可以看出,对于黄河下游河道不同河段,距离变化在177.9~629.6 km之间,相应模型参数有所不同,系数K变化在0.25~1.05之间,指数a变化在0.65~0.95之间,指数b变化在1.06~1.35之间。其中,花园口—利津河段距离最长约为629.6 km,模型系数K与指数a值最小分别为0.25与0.65,指数b值最大约为1.35。
表2 黄河下游河道不同河段模型参数

Tab. 2 Model parameters for different reaches in the Lower Yellow River

河段 距离(km) 模型参数 模型效果指标
系数K 指数a 指数b R2 NSE
基本河段 花园口—高村 177.9 0.38* 0.81* 1.21* 0.978 0.975
高村—艾山 182.1 1.05* 0.84* 1.06* 0.978 0.977
艾山—利津 269.6 0.52* 0.95* 1.11* 0.984 0.980
扩展河段 花园口—艾山 360.0 0.46+ 0.68+ 1.24+ 0.954 0.949
花园口—利津 629.6 0.25+* 0.65+* 1.35+* 0.919 0.890
高村—利津 451.7 0.54+ 0.79+ 1.17+ 0.956 0.946

注:*为参考结果;+为递推结果;+*为参考与递推综合结果。

为进一步检验表2中黄河下游河道不同河段模型系数K及指数ab值的合理性,基于图2黄河下游河道不同水文站历年水沙数据,将表2中统计的不同河段模型系数K及指数ab值分别代入模型方程式(1),对不同河段出口断面的输沙率进行模拟,并分别采用确定性系数R2与Nash-Sutcliffe效率系数NSE对模拟效果进行检验,结果参见图4a~4f,相应确定性系数R2与Nash-Sutcliffe效率系数NSE值同列于表2中。综合图4a~4f与表2可以看出,黄河下游河道不同河段年均输沙率计算值与实测值符合良好,确定性系数R2值变化在0.919~0.984之间,接近于1.0,Nash-Sutcliffe效率系数NSE值变化在0.89~0.98之间,接近于1.0,远大于0.5的可接受水平。这说明表2对黄河下游河道不同河段给出的模型系数K及指数ab值是合理且可接受的。其中,图4d~4f中个别年份年均输沙率计算值与实测值偏差较大,这可能与计算河段较长、沿程河道型态多样(包括游荡型、过渡型、弯曲型)及流量变幅较大有关,给模型应用精度带来了一定的影响。
图4 黄河下游河道不同河段输沙率计算值与实测值比较

Fig. 4 Comparison between calculated and measured sediment transport rate for different reaches in the Lower Yellow River

4.2 模型参数变化规律

图5a、5d可以看出黄河下游河道不同河段模型系数K与指数ab随河段距离的变化呈现出以下变化规律:① 指数a随着河段距离的增大而减小,两者呈现为指数负相关关系;② 系数K随着河段距离的增大而减小,减小速率要大于指数a,且与指数a呈现为指数正相关关系;③ 指数b随着河段距离的增大而增大,且与指数a呈现为线性负相关关系,两者之和约为2.0。
图5 黄河下游河道水沙关系模型参数变化分析

Fig. 5 Parameter variation of the sediment-runoff relation model in the Lower Yellow River

基于图5,参考式(5)~式(6)方程形式,并将式(6)转化为自然指数方程,经过拟合率定,可以建立黄河下游河道模型系数K(x)与指数a(x)随河段距离x的变化方程:
a ( x ) = a ̑ x = ( e - 0.0007 ) x = e - 0.0007 x
K ( x ) = K ̑ 1 - a ̑ x 1 - a ̑ = K ̑ 1 1 - a ̑ 1 K ̑ 1 1 - a ̑ a ̑ x = 0.015 1 0.015 a ( x )
指数b(x)与指数a(x)之间的线性负相关方程为:
b ( x ) = 2.0 - a ( x )
式中:x为距离(km)。
在式(11)~(13)中,黄河下游河道单位长度河段的模型指数 a ̑的综合平均值为: a ̑= e-0.0007,系数 K ̑的综合平均值为: K ̑= 0.0151- a ̑,指数 b ̂的综合平均值为: b ̂= 2.0- a ̑
表3为根据式(11)~(13)计算黄河下游河道不同河段模型系数K与指数ab值,并与部分研究者对模型系数K与指数ab值的率定结果进行比较[15,16,17]。在式(11)~(13)中,指数a是关键参数,以指数a值计算与率定平均结果比较为例:花园口—高村河段计算结果略大,高村—艾山河段基本接近,艾山—利津河段计算结果略小。这主要是由于式(11)~(13)反映为黄河下游河道整体平均情况,而实际上花园口—高村河段相对宽浅、艾山—利津河段相对窄深,造成计算与率定结果略有偏差。
表3 黄河下游河道不同河段模型参数计算值

Tab. 3 Calculation values of model parameters for different reaches in the Lower Yellow River

河段 模型参数 刘月兰等[15]
(1987年)
赵业安等[16]
(1989年)
吴保生等[17]
(2007年)
本文
(2021年)
他人研究
参数平均值
汛期 非汛期 汛期 全年 汛期 全年
不漫滩 漫滩
花园口—高村 系数K 0.46 5.40 0.39 0.55 0.38 0.44 0.61 1.27
指数a 0.76 0.76 0.49 0.76 0.81 0.81 0.88 0.73
指数b 1.21 1.16 1.33 1.18 1.21 1.21 1.12 1.22
高村—艾山 系数K 0.65 0.79 0.15 0.51 1.05 1.13 0.6 0.71
指数a 0.83 0.81 1.02 0.92 0.84 0.84 0.88 0.88
指数b 1.08 1.06 1.25 1.12 1.06 1.06 1.12 1.11
艾山—利津 系数K 0.43 0.43 1.23 0.6 0.52 0.57 0.49 0.63
指数a 1.00 1.00 1.13 0.96 0.95 0.95 0.83 1.00
指数b 1.09 1.09 1.21 1.09 1.11 1.11 1.17 1.12

4.3 输沙沿程变化模拟

基于黄河下游河道考虑来水含沙量的水沙关系模型方程式(1),并结合式(11)~(13),分别对不同年份下游河道年均输沙率的沿程变化情况进行模拟,并参考式(2)将式(1)计算年均输沙率转化为年均含沙量。同时,补充收集夹河滩、孙口、泺口水文站含沙量的实测数据,用于模拟效果检验。
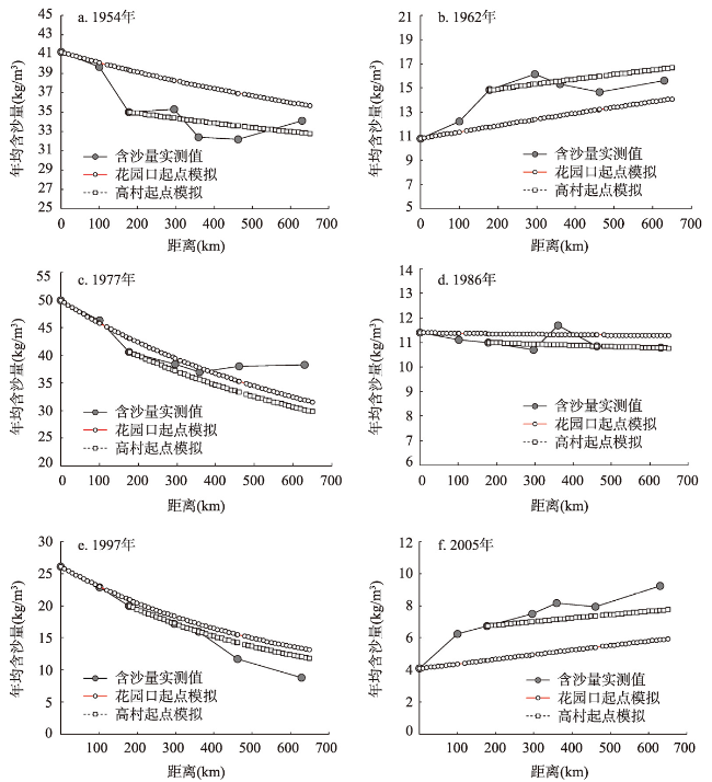
表4列举了根据式(11)~(13)分别以花园口站和高村站为起始断面计算得到的黄河下游河道不同距离断面对应模型系数K与指数abc值的结果,图6a~6f为相应两种起点方案下6个示例年份黄河下游河道年均含沙量沿程变化的模拟结果。其中,对示例年份的选择,分取不同的年代,并考虑人类活动(主要为水库调蓄)影响,以尽量反映出多种不同的水沙组合情况。考虑到黄河下游沿程各站流量有所变化,计算过程中对流量取各水文站的平均值。从图6a~6f可以看出,两种起点计算方案下,黄河下游河道沿程年均含沙量的计算值与实测值变化趋势基本符合。
表4 黄河下游河道沿程模型参数计算值

Tab. 4 Calculation values of model parameters along the distance of the Lower Yellow River

距离断面
(km)
方案1(花园口起点) 距离断面
(km)
方案2(高村起点)
水文站 系数K 指数a 指数b 指数c 水文站 系数K 指数a 指数b 指数c
0 花园口 1.00 1.00 1.00 0.00 0 高村 1.00 1.00 1.00 0.00
100 0.75 0.93 1.07 0.07 50 0.87 0.97 1.03 0.03
100.8 夹河滩 0.75 0.93 1.07 0.07 100 0.75 0.93 1.07 0.07
177.9 高村 0.61 0.88 1.12 0.12 118.2 孙口 0.72 0.92 1.08 0.08
200 0.58 0.87 1.13 0.13 150 0.66 0.90 1.10 0.10
296.1 孙口 0.46 0.81 1.19 0.19 182.1 艾山 0.60 0.88 1.12 0.12
300 0.45 0.81 1.19 0.19 200 0.58 0.87 1.13 0.13
360 艾山 0.39 0.78 1.22 0.22 250 0.51 0.84 1.16 0.16
400 0.36 0.76 1.24 0.24 283.9 泺口 0.47 0.82 1.18 0.18
461.8 泺口 0.31 0.72 1.28 0.28 300 0.45 0.81 1.19 0.19
500 0.29 0.70 1.30 0.30 350 0.40 0.78 1.22 0.22
600 0.24 0.66 1.34 0.34 400 0.36 0.76 1.24 0.24
629.6 利津 0.22 0.64 1.36 0.36 451.7 利津 0.32 0.73 1.27 0.27
700 0.20 0.61 1.39 0.39 500 0.29 0.70 1.30 0.30
图6 黄河下游河道含沙量沿程变化模拟结果

Fig. 6 Simulation results of sediment concentration variation along the distance of the Lower Yellow River

分别采用确定性系数R2与Nash-Sutcliffe效率系数NSE图6a~6f中不同示例年份黄河下游河道年均含沙量沿程变化模拟效果进行检验。图7a、7b分别为黄河下游河道在花园口、高村两种起点计算方案下沿程各水文站年均含沙量计算值与实测值的对比情况,可以看出确定性系数R2值分别为0.96、0.956;根据式(10)计算Nash-Sutcliffe效率系数NSE值分别为0.934、0.952。两种起点计算方案下黄河下游河道各水文站的年均含沙量计算值与实测值确定性系数R2值均接近于1.0,Nash-Sutcliffe效率系数NSE值均远大于0.5,并接近于1.0,这表明整体模拟效果均较为良好。同时,也说明了将式(11)~(13)用于黄河下游河道模型系数K与指数abc值的沿程变化计算是合理且可接受的。
图7 黄河下游河道含沙量计算值与实测值比较(图6示例年份)

Fig. 7 Comparison between calculated and measured sediment concentration in the Lower Yellow River

4.4 结果分析与讨论

以往在黄河下游河道中应用考虑来水含沙量的水沙关系模型式(1),往往受限于模型参数(系数K与指数ab)需由进出口水文站实测水沙资料回归率定的限制,只能对特定水文站组成河段的出口断面进行输沙模拟,难以扩展用于无资料断面的输沙计算,更无法描述整个河道沿程输沙的变化情况。本文重点统计、分析了模型参数(系数K与指数ab)随河段距离的变化规律,分别建立了系数K与指数ab随河段距离的计算式(11)~(13),从而可将模型扩展应用于下游河道不同距离断面的输沙计算,进而描述整个下游河道沿程输沙的变化情况。
进一步基于式(1)、式(2)及式(13),暂不考虑河道沿程流量变化,则式(2)可简化表示为:
ξ = S Q = K S u Q a
式中:ξ为水沙搭配参数;Su/Q为进口断面水沙搭配参数,也称来沙系数。
式(14)表明,水沙关系模型式(1)或式(2)本质上可以表示为河流在一定来沙系数Su/Q条件下水沙搭配参数S/Q自身沿程调整的统一方程形式。如考虑河道沿程流量变化,则实际中河道沿程水沙搭配参数调整方程可表示为:
ξ ̑ = Q Q u a S Q = η a S Q = K S u Q u a
式中: ξ ̑是流量变化修正还原后的水沙搭配参数;η为流量比;Qu为进口断面流量(m3/s)。
以往不少研究认为黄河下游河道冲淤平衡时的来沙系数为0.01~0.015 [28,29],参见图8。基于式(14),结合式(11)、式(12)分析:当x = 0时,有指数a = 1.0、系数K = 1.0,水沙搭配参数ξ = S/Q = Su/Q;当x→∞时,有指数a→0、系数K→0.015,水沙搭配参数ξ = S/QK→0.015,根据不平衡输沙理论,河道水沙搭配将趋于平衡状态,这与以往研究成果基本符合。
图8 黄河下游河道年冲淤量与来沙系数关系

Fig. 8 Relationship between annual deposition-erosion amount and coming sediment coefficients in the Lower Yellow River

基于以上分析,根据式(14)并结合式(11)、式(12),可以绘制黄河下游河道水沙搭配参数沿程调整的理论曲线及相应河床冲淤判别模式,并结合图6a~6f中选取的黄河下游河道不同示例年份,分别计算、点绘在起始花园口站不同来沙系数下沿程各水文站还原水沙搭配参数的变化情况,如图9所示。图9中对各水文站还原水沙搭配参数的具体计算步骤为:① 结合图2下游各水文站历年实测流量与含沙量数据,分别计算不同示例年份各水文站的实测水沙搭配参数值及相对花园口站的流量比η值;② 参考式(11)以花园口站为起点计算沿程各水文站输沙系数a值;③ 基于式(15)对各水文站实测水沙搭配参数乘以ηa后进行修正还原。图9中对还原水沙搭配参数还原结果的点绘方法为:在理论曲线上寻找与不同示例年份花园口站来沙系数相等的点,以该点对应的x轴坐标作为相对零点,再按相对距离依次点绘下游不同距离水文站的水沙搭配参数还原结果。从图9可以看出:黄河下游河道不同示例年份沿程各水文站水沙搭配参数还原结果基本位于理论曲线两侧附近,这表明理论曲线的变化趋势是合理的。
图9 黄河下游河道水沙搭配参数沿程调整曲线

Fig. 9 Self-regulation curve of water and sediment matching index along the Lower Yellow River

需要进一步指出的是,现有研究表明对于黄河下游河道考虑来水含沙量的水沙关系模型式(1),系数K与指数ab不仅与河段距离(即泥沙输移距离)有关,还受到河道纵比降、横断面宽度、横断面形态、单宽流量、输移泥沙粒径等多种因素的影响。黄河下游河道沿程纵比降变化不一、两岸组成条件各异、平面型态种类多样、横断面形态变化复杂,造成各河段水沙关系模型系数K与指数ab的变化规律更为复杂。本文建立的黄河下游河道模型系数K与指数ab计算表达式(11)~(13)仅考虑了河段距离(即泥沙输移距离)的影响,尚未考虑沿程断面形态、泥沙粒径等其它因素变化的影响。由于黄河下游河道沿程形态特征空间分布的不规则性与时间变化的非稳定性,加之水文站测量断面沿程分布的相对稀疏性,这给分离研究不同影响因素对模型系数K与指数ab的影响规律带来了不便。因此,在对黄河下游河道不同河段形态特征进行概化分类的基础上,通过独立开展不同影响因素下模型系数K与指数ab变化的系列水槽试验,分别研究不同影响因素的影响规律,将值得进一步的研究。

5 结论

以黄河下游河道为研究对象,对其考虑来水含沙量的水沙关系模型(Qs = KSuaQb),以年为分析时段,重点统计分析了不同河段模型系数K与指数ab随河段距离的变化规律,并用于黄河下游河道输沙沿程变化的模拟,得到主要结论如下:
(1)对于黄河下游河道不同距离河段(花园口—高村、高村—艾山、艾山—利津、花园口—艾山、花园口—利津、高村—利津),模型参数(系数K与指数ab)值有所不同。不同河段距离变化为177.9~629.6 km,模型系数K值变化在0.25~1.05之间,指数a值变化在0.65~0.95之间,指数b值变化为1.06~1.35。其中,花园口—利津河段距离最长,系数K与指数a值最小,指数b值最大。
(2)分析表明黄河下游河道不同河段模型系数K与指数ab随河段距离呈现出以下变化规律:指数a随着河段距离的增大而减小,两者呈现为指数负相关关系;系数K随着河段距离的增大而减小,且与指数a呈现为指数正相关关系;指数b随着河段距离的增大而增大,且与指数a呈现为线性负相关关系;指数ab之和约为2.0。
(3)分别建立了黄河下游河道模型系数K与指数ab随河段距离变化的计算表达式,并用于黄河下游河道输沙沿程变化的模拟。结果表明,黄河下游河道沿程含沙量的计算值与实测值变化趋势基本符合,确定性系数R2值可以达到0.96,接近于1.0,Nash-Sutcliffe效率系数NSE值在0.93以上,远大于0.5,接近于1.0,模拟效果良好。
需要指出的是,黄河下游河道考虑来水含沙量的水沙关系模型系数K与指数ab不仅与河段距离(即泥沙输移距离)有关,还受到河道比降、断面宽度、断面形态、单宽流量、泥沙粒径等多种因素的影响。后期,应在对黄河下游河道不同河段形态特征概化分类的基础上,通过独立开展不同影响因素下模型系数K与指数ab变化的系列水槽试验,分别研究不同影响因素的影响规律。
[1]
Yu Fengling. Suspended sediment rating curve of the Yangtze (Changjiang) River: Characteristics interpretations and practices[D]. Shanghai: East China Normal University, 2006.

[余凤玲. 长江干流水沙关系模型特征、河流地貌学意义及其应用浅析[D]. 上海: 华东师范大学, 2006.]

[2]
Zhou Wenhao, Zeng Qinghua, Zhao Huaxia, et al. Analysis on sediment carrying capacity of the lower Yellow River. Journal of Sediment Research, 1994(3): 1-11.

[周文浩, 曾庆华, 赵华侠, 等. 黄河下游河道输沙能力的分析. 泥沙研究, 1994(3): 1-11.]

[3]
Shen Guanqing, Zhang Yuanfeng, Hou Suzhen, et al. Impact of water and sediment regulation by reservoirs in the upper Yellow River on Inner-Mongolia reaches. Journal of Sediment Research, 2007(1): 67-75.

[申冠卿, 张原锋, 侯素珍, 等. 黄河上游干流水库调节水沙对宁蒙河道的影响. 泥沙研究, 2007(1): 67-75.]

[4]
Yang G F, Chen Z Y, Yu F L, et al. Sediment rating parameters and their implications: Yangtze River, China. Geomorphology, 2007, 85: 166-175.

DOI

[5]
Morgan R P C. Soil Erosion and Conservation. 3rd ed. Malden: Blackwell Publishing Ltd, 2005.

[6]
Asselman N E M. Fitting and interpretation of sediment rating curves. Journal of Hydrology, 2000, 234: 228-248.

DOI

[7]
Syvitski J P, Morehead M D, Bahr D B, et al. Estimating fluvial sediment transport: The rating parameters. Water Resources Research, 2000, 36: 2747-2760.

DOI

[8]
Liden R, Harlin J, Karlsson M, et al. Hydrological modeling of fine sediments in the Odzi River, Zimbabwe. Water SA, 2001, 27(3): 303-314.

[9]
Petersen-Øverleir A. Accounting for heteroscedasticity in rating curve estimates. Journal of Hydrology, 2004, 292: 173-181.

DOI

[10]
Xu K Q, Chen Z Y, Zhao Y W, et al. Simulated sediment flux during 1998 big-flood of the Yangtze (Changjiang) River, China. Journal of Hydrology, 2005, 313: 221-233.

DOI

[11]
Peng Wenchang, Li Yongshan. Transport characteristics of water and sediment from different sources in Inner Mongolian reach of the Yellow River. Journal of Desert Research, 2016, 36(3): 805-813.

[彭文昌, 李永山. 黄河内蒙古段异源水沙输移特性. 中国沙漠, 2016, 36(3): 805-813.]

[12]
Ta W Q, Wang H B, Jia X P. Suspended sediment transport response to upstream wash-load supply in the sand-bed reach of the Upper Yellow River, China. Journal of Hydrology, 2015, 528: 562-570.

DOI

[13]
Shen Hongbin, Wu Baosheng. Analysis on the parameterization method boundary conditions of hydrological model for river sediment transport. Journal of Hydraulic Engineering, 2020, 51(2): 193-200.

[申红彬, 吴保生. 河流泥沙水文学模型边界条件参数化方法探讨. 水利学报, 2020, 51(2): 193-200.]

[14]
Qian Ning, Zhang Ren, Li Jiufa, et al. A preliminary study on the mechanism of self-regulation of sediment transport capacity in the lower Huang He (the Yellow River). Acta Geographica Sinica, 1981, 36(2): 143-156.

DOI

[钱宁, 张仁, 李九发, 等. 黄河下游挟沙能力自动调整机理的初步探讨. 地理学报, 1981, 36(2): 143-156.]

[15]
Liu Yuelan, Han Shofa, Wu Zhi. A method for calculating sediment erosion and deposition in the Lower Yellow River. Journal of Sediment Research, 1987(3): 30-42.

[刘月兰, 韩少发, 吴知. 黄河下游河道冲淤计算方法. 泥沙研究, 1987(3): 30-42.]

[16]
Zhao Ye'an, Pan Xiandi, Fan Zuoying, et al. Basic law and situation of erosion and sedimentation of the lower reaches of the Yellow River. Proceedings of Yellow River Institute of Hydraulic Research: Episode 1, Sediment, Soil and Water Conservation. Zhengzhou: Henan Science and Technology Press, 1989: 12-26.

[赵业安, 潘贤娣, 樊左英, 等. 黄河下游河道冲淤情况及基本规律. 黄河水利委员会水利科学研究所文集: 第一集: 泥沙、水土保持. 郑州: 河南科学技术出版社, 1989: 12-26.]

[17]
Wu Baosheng, Zhang Yuanfeng. Analysis on sediment transport in the Lower Yellow River. Journal of Sediment Research, 2007(1): 30-35.

[吴保生, 张原锋. 黄河下游输沙量的沿程变化规律和计算方法. 泥沙研究, 2007(1): 30-35.]

[18]
Leopold L B, Maddock T. The hydraulic geometry of stream channels and some physiographic implications. USGS Professional Paper No.252, 1953.

[19]
Fu Xudong, Jiang Liwei, Wu Baosheng, et al. Sediment delivery ratio and its uncertainties on flood event scale: Quantification for the Lower Yellow River. Scientia Sinica: Technologica, 2010, 40(4): 349-357.

DOI

[傅旭东, 姜立伟, 吴保生, 等. 黄河下游河道场次洪水排沙比及其不确定性. 中国科学: 技术科学, 2010, 40(4): 349-357.]

[20]
Wu Baosheng, Liu Kejing, Shen Hongbin, et al. Calculation methods for sediment load and deposition volume in the Inner Mongolia reach of the Yellow River. Advances in Water Science, 2015, 26(3): 311-321.

[吴保生, 刘可晶, 申红彬, 等. 黄河内蒙古河段输沙量与淤积量计算方法. 水科学进展, 2015, 26(3): 311-321.]

[21]
Wang Y J, Wu B S, Zhong D Y, et al. Calculation method for sediment load in flood and non-flood seasons in the Inner Mongolia reach of the Yellow River. Journal of Geographical Sciences, 2016, 26(6): 707-721.

DOI

[22]
Yao Wenyi, Yan Zhongmin, Li Yong. Adjustment of sediment capacity during channel shrinkage for lower Yellow River. Advances in Science and Technology of Water Resources, 2006, 26(3): 10-14.

[姚文艺, 严忠民, 李勇. 黄河下游河道萎缩过程中输沙能力的调整. 水利水电科技进展, 2006, 26(3): 10-14.]

[23]
Shen Hongbin, Wu Baosheng. Exponent change rule of power law for sediment transport in alluvial rivers. Advances in Water Science, 2018, 29(2): 179-185.

[申红彬, 吴保生. 冲积河流泥沙输移幂律函数指数变化规律. 水科学进展, 2018, 29(2): 179-185.]

[24]
Sun Gaohu. Responses of longitudinal profile and cross sections to variations of incoming runoff and sediment load in the Lower Yellow River[D]. Beijing: China Institute of Water Resources and Hydropower Research, 2006.

[孙高虎. 水沙变异条件下黄河下游河道纵横剖面的响应[D]. 北京: 中国水利水电科学研究院, 2006.]

[25]
Hu Sheng, Cao Mingming, Qiu Haijun, et al. Applicability evaluation of CFSR climate data for hydrologic simulation: A case study in the Bahe River Basin. Acta Geographica Sinica, 2016, 71(9): 1571-1586.

DOI

[胡胜, 曹明明, 邱海军, 等. CFSR气象数据在流域水文模拟中的适用性评价: 以灞河流域为例. 地理学报, 2016, 71(9): 1571-1586.]

[26]
Nash J E, Sutcliffe J V. River flow forecasting through conceptual models (Part 1): A discussion of principles. Journal of Hydrology, 1970, 10(3): 282-290.

DOI

[27]
Gupta H V, Sorooshian S, Yapo P O. Status of automatic calibration for hydrologic models: Comparison with multilevel expert calibration. Journal of Hydrologic Engineering, 1999, 4(2): 135-143.

DOI

[28]
Xu jiongxin. Tendency of sedimentation in the Lower Yellow River influenced by human activities. Journal of Hydraulic Engineering, 2004, 35(2): 8-16.

[许炯心. 人类活动影响下的黄河下游河道泥沙淤积宏观趋势研究. 水利学报, 2004, 35(2): 8-16.]

[29]
Wu Baosheng, Shen Guanqing. Approach to physical meaning of coming sediment coefficients. Yellow River, 2008, 30(4): 15-16.

[吴保生, 申冠卿. 来沙系数物理意义的探讨. 人民黄河, 2008, 30(4): 15-16.]

文章导航

/