Climate Change and Surface Process

Multi-time scale analysis of water conservation in a discontinuous forest watershed based on SWAT model

  • LIN Feng 1, 2 ,
  • CHEN Xingwei , 2 ,
  • YAO Wenyi 3 ,
  • FANG Yihui 4 ,
  • DENG Haijun 2 ,
  • WU Jiefeng 5 ,
  • LIN Bingqing 2
Expand
  • 1.Key Laboratory of Soil Erosion Process and Control on the Loess Plateau, Ministry of Water Resources, Zhengzhou 450003, China
  • 2.School of Geographical Sciences, Fujian Normal University, Fuzhou 350007, China
  • 3.Yellow River Institute of Hydraulic Research, Zhengzhou 450003, China
  • 4.Information Management and Engineer Department, Fujian Business University, Fuzhou 350012, China
  • 5.Research Center of Water Resources and Environment, Sun Yat-Sen University, Guangzhou 510275, China

Received date: 2019-05-14

  Request revised date: 2020-02-10

  Online published: 2020-07-25

Supported by

The Foundation of the Key Laboratory of Soil Erosion Process and Control on the Loess Plateau, Ministry of Water Resources(2017003)

National Natural Science Foundation of China(41877167)

Copyright

Copyright reserved © 2020

Abstract

A method has been developed based on the Soil and Water Assessment Tool (SWAT) to quantitatively evaluate the water conservation function of forests and its multi-time scale characteristics in a discontinuous forest watershed. Using this method, we have divided hydrological response units (HRU) based on the spatial distribution of forests, and derived a formula to quantify the water conservation in discontinuous forest watershed based on the water balance method. Here we take the Jinjiang River Basin in southeast coastal China as an example. We constructed SWAT model under land use conditions in 2006 and analyzed the temporal variation of forest water conservation in the study river basin under precipitation conditions from 2002 to 2010. The results show that (1) the SWAT model of the study area is of high accuracy, and the hydrological response unit can accurately reflect the distribution of forest patches when the area threshold is zero. The model provides a new method for evaluation of forest water conservation function in the discontinuous forest watershed using a distributed hydrological model. (2) The annual conservation of forest water in the Jinjiang River Basin was 271.41-565.25 mm. The annual conservation function of forest water is relatively stable, and there was no runoff regulation between consecutive years. The monthly conservation ranged from -29.15 mm to 154.59 mm, which is positive for most months of the year. The forest water conservation was positive in extreme precipitation period, and negative in extremely dry period. This demonstrates the function of forest water conservation in retaining rainwater in wet periods to decrease flood in the river and supplying water in dry periods to supplement the flow at the daily scale was more effective than that at the monthly scale.

Cite this article

LIN Feng , CHEN Xingwei , YAO Wenyi , FANG Yihui , DENG Haijun , WU Jiefeng , LIN Bingqing . Multi-time scale analysis of water conservation in a discontinuous forest watershed based on SWAT model[J]. Acta Geographica Sinica, 2020 , 75(5) : 1065 -1078 . DOI: 10.11821/dlxb202005013

1 引言

森林水源涵养功能是森林生态系统服务功能的重要组成,从水量调节的角度看,森林水源涵养功能反映的是森林作为下垫面的一种组成,对降雨径流过程的调节作用,主要表现为拦蓄洪水与调节径流[1]。在降雨事件中,森林通过林冠层、枯枝落物层、土壤层等拦蓄降水[2,3,4,5,6],进而起到削减洪峰的作用。而从长时间尺度来看,森林通过丰水期蓄积降水,枯水期补充河道径流,而起到调节河川径流的作用[7,8,9]。森林水源涵养功能的评价通常用水源涵养量的大小表示,由于问题的复杂,森林水源涵养量计算方法众多,适用条件各有不同[10,11]。大多数研究仅仅针对单一林分的个别层次蓄水功能,缺乏流域或更大空间尺度的森林水源涵养功能研究[11]
从流域尺度来研究森林水源涵养量,主要有林冠截留量法、综合蓄水能力法和水量平衡法等。林冠截留量法[12,13]通过测量实验样地不同森林植被的冠层截留率,以推求整个流域的森林水源涵养量。综合蓄水能力法[14,15,16]通过野外实验测量,获得不同森林植被的冠层截留率、土壤非毛管孔隙度、枯枝落叶层最大持水量等参数,进而计算整个流域的森林水源涵养量。水量平衡法是目前应用比较多的方法[18,19,20,21,22],也是森林生态系统服务评估推荐的一种方法[23]。该方法把流域当作一个整体,根据水量平衡原理,把流域的降雨量与蒸发量的差、或降雨量与蒸发量及地表径流量的差定义为水源涵养量。这些方法或者针对的是森林面积占流域面积比重较大的流域,所得结果可以近似等于流域的森林水源涵养量;或者研究区内降水量、森林蒸散发和地表径流的空间差异性一般被忽略[24]。但是,对于大部分流域来讲,森林所占流域面积比重往往还没有大到可以忽略其他土地利用类型,森林空间分布是不连续的,森林蒸散发和地表径流的空间差异性大,这类流域森林水源涵养量值得进一步研究。
近年InVEST模型[25]在森林水源涵养量及其空间变化方面的应用较多[26,27,28]。InVEST产水量模块是基于水量平衡原理,用各栅格的降水量减去实际蒸散发后的水量,进而得到该栅格的产水量,其中实际蒸散发与降水量的关系通过布迪科(Budyko curve)近似求得。计算产水量后,考虑地形指数、土壤滲透性和地表径流流速系数的影响,计算森林水源涵养量。但尚未见栅格大小与流域森林空间分布特征关系的分析。
从森林水源涵养的时间尺度特征来看,上述方法计算的结果,反映的都只是年尺度的森林水源涵养量。包括应用InVEST模型进行森林水源涵养评价时,已有的研究大都采用多年平均径流量对模型参数进行校准[26, 28-29],相应得到的也是森林水源涵养量的多年平均值。也就是说,这些方法既无法反映出森林水源涵养量的年际变化,更未涉及森林水源涵养量的年内,以及洪、枯水期变化特征。所谓森林水源涵养的拦蓄洪水与调节径流功能,实际上就是不同时间尺度森林水源涵养功能的不同表现形式。已有研究也表明,不同时间尺度的降雨径流过程对土地利用的响应是不一样[30]。因此,森林水源涵养功能的时间尺度特征分析,有助于更全面评价森林的水源涵养功能。
流域分布式水文模型因其对水文循环的物理过程描述比较精确[31],能够体现降雨和下垫面空间分布的不均匀性,理论上可作为定量评价森林水源涵养功能的一个重要途径[32]。分布式水文模型(Soil and Water Assessment Tool, SWAT)自20世纪90年代开发以来,在全球范围内得到了普遍应用[33,34,35,36,37,38]。该模型具有较强的物理机制,通过水文响应单元(Hydrological Response Unit, HRU)和子流域的划分,从年、月和日等时间尺度对截留、蒸散发、下渗、地表径流及地下径流等水文过程的时空变化进行模拟分析[39]。该模型在东南沿海的晋江流域也有很好的适应性[30, 40-41]。晋江流域地处亚热带海洋性季风气候区,气候湿润,地貌以中山、低山为主,森林发挥着重要的涵养水源作用。因此,以晋江流域为例,依据森林分布特征划分森林水文响应单元,构建反映森林不连续分布的流域SWAT水文模型;根据模型所依据的水量平衡原理,提出森林不连续分布流域的森林水源涵养量计算公式,以期为森林水源涵养能力评价提供新的方法和思路。

2 材料与方法

2.1 研究区概况及数据

2.1.1 研究区 晋江位于福建东南沿海(图1),长302 km,流域面积5629 km2,有东溪和西溪两大支流,两溪汇合于南安的双溪口(石砻水文站以上2.5 km处)。本文选取石砻水文站以上的流域为研究区,面积为5042 km2。流域为南亚热带湿润季风气候,年平均降水量1200~1900 mm,降水年内分布不均,主要集中在5—8月,同时夏季多对流性暴雨和台风雨。土壤类型主要有红壤、黄红壤、黄壤和水稻土,土地利用类型以林地为主。
图1 研究区位置

Fig. 1 Location of the study area

2.1.2 数据 径流数据来自石砻、安溪和山美水文站2001—2010年日径流数据,由福建省水文资源勘测局提供。降水数据为流域32个雨量站点的2001—2010年日降水量数据,由福建省水文资源勘测局提供。气温数据为流域内永春、德化2个气象站的2001—2010年数据,包括最高气温、平均气温、最低气温、太阳辐射、风速及相对湿度等资料,由福建省气象局提供。土壤类型数据,通过对福建省土壤肥料实验站1:50万土壤类型图数字化得到,研究区包括11类主要土壤类型。土壤的水文属性,基于美国农业部开发的土壤水特性软件(Soil Plant Atmosphere Water, SPAW)软件计算得到。2006年土地利用数据由TM遥感影像解译[40,41]。DEM数据由中国科学院国际科学数据服务平台提供,空间分辨率为30 m×30 m。

2.2 反映森林斑块空间分布的SWAT模型构建

2.2.1 SWAT模型简介 SWAT模型是由美国农业部农业研究中心(USDA-ARS)开发的流域尺度半分布式水文模型[42,43],模型可在具有多种土壤类型、土地利用类型、气象环境和管理条件的复杂流域中,预测长期土地管理措施对水、泥沙和农业污染物的影响[44],具有描述水文循环的时空变化过程的物理基础。SWAT模型首先将流域划分为若干个子流域,每个子流域通过河网建立联系。每个子流域又被划分为若干个水文响应单元(HRU),每个HRU具有唯一属性特征的土地利用、土壤、坡度的组合。SWAT模型单独计算每个HRU的径流量,在每个子流域的基础上进行所有HRU的水量叠加,通过河道汇流演算,最后求得出口断面的流量[45]
2.2.2 与森林斑块空间分布相适应的水文响应单元划分 水文响应单元(HRU)是SWAT模型中最基本的运算单元,其特点是同一HRU内视为具有相同的土地利用、土壤类型和坡度级别的均质体。与森林斑块空间分布相适应的HRU的生成过程如下:
(1)将土地利用、土壤及坡度栅格图进行叠加分析,分别对土地利用、土壤及坡度设定阈值,生成具有相同的属性特征和水文过程响应的HRU。土地利用阈值表示叠加后的某一土地利用斑块面积占子流域的面积;土壤阈值表示叠加后的某一土壤斑块面积占土地利用的面积比例;坡度阈值表示某一坡度斑块面积占土壤斑块面积[46]。本文为让所有土地利用类型、土壤类型、坡度等都参与到模型的模拟,将土地利用、土壤及坡度等面积阈值都设定为0。
(2)充分利用SWAT模型HRU设置的优点,让模型生成的HRU能够充分体现森林HRU的空间分布。基于已生成的HRU矢量数据,通过土地利用的字段,筛选出森林HRU。将相关统计结果,通过HRUGIS编码,进行数据联接,得到森林HRU的空间分布图。

2.3 基于SWAT模型的森林水源涵养量计算方法

2.3.1 涵养量计算方法 运用水量平衡法计算的森林水源涵养量,是从水量平衡的角度出发,降水量与森林蒸散量以及其他消耗的差即为水源涵养量,即[16, 19, 24]
W = P - E - R
式中:W为森林水源涵养量;PER分别为森林区域年降水量、年蒸散量和地表径流量。
SWAT模型将研究区划分为多个子流域,进而将子流域划分为多个水文响应单元(HRU),以HRU为最小模拟单元,在HRU上进行蒸散发、地表径流、土壤水、地下水等过程的模拟(图2)。基于SWAT模型的水量平衡方程式可以表示为:
S i = PRE C i - E i - WYL D i
图2 SWAT模型水文响应单元(HRU)水循环过程示意图

Fig. 2 HRU hydrological process of SWAT model

式中:i表示第i个HRU;∆Si表示第i个HRU上的水量变化量;PRECi表示第i个HRU降雨量;Ei表示第i个HRU蒸散发量;WYLDi表示从第i个HRU流出的水量,WYLDi包括地表径流SURQi、壤中流LATQi、地下径流GWQi等三个部分的径流组成。即:
WYL D i = SUR Q i + LAT Q i + GW Q i
根据式(1),第i个HRU的森林水源涵养量Yi可以表示为:
Y i = PRE C i - E i - SUR Q i = Δ S i + LAT Q i + GW Q i
基于SWAT模型的森林水文过程可以概括为:降雨落在森林HRU上,一部分水量通过植物蒸腾、土壤蒸发等蒸散发的形式将水汽返还给大气,一部分形成地表径流汇入河道。其余水量通过土壤下渗到地下,一部分以壤中流的形式汇入河道,一部分下渗到地下水储量,通过地下径流汇入到河川中。森林通过改变降水的分配与循环,而发挥森林水源涵养功能。从水循环的角度看,式(3)表示的森林水源涵养量也近似等于壤中流、地下径流及HRU的水量变化量的和。通过中野秀章[47]提出的区域林分水量平衡公式的推导,也可以得到如式(4)的结果。综上,基于SWAT模型的流域第i个森林HRU森林水源涵养量可以表示为:
W ij = i = 1 n ( PRE C ij - E ij - SUR Q ij ) × S i × 1000
式中:Wij表示流域第i个森林HRU水源涵养量(m3);PRECij表示第i个森林HRU降雨量(mm);Eij表示第i个森林HRU的实际蒸散发量(mm);SURQij表示第i个森林HRU产生的地表径流量(mm);Si表示第i个森林HRU的面积(km2);j表示年、月、日时间尺度所对应的值。
统计了流域每个森林HRU的水源涵养量Wij,在此基础上将所有森林HRU的水源涵养量汇总相加,得到整个流域的森林水源涵养量W,即:
W = i = 1 n W ij
式中:n表示流域森林HRU的总数;j同上。
多年平均森林水源涵养量W为式(6)计算所得的历年森林水源涵养量的平均值。森林水源涵养量还可用水深表示,即以体积表示的森林水源涵养量除以流域面积。
2.3.2 模型构建及参数率定 选取SCS径流曲线模型计算地表径流,Penman-Monteith公式计算流域潜在蒸发,动力蓄水水库模型计算土壤水量,基流退水系数法计算地下径流[48]。参数敏感性分析采用SWAT2009自带的敏感性分析模块。根据模型敏感性分析结果,筛选灵敏度大于0.05的7个敏感参数[49]。选用Nash系数(Ens[50]、相关系数(R2)、相对误差(PBIAS)来评价模型的模拟结果。
2.3.3 不同时间尺度特征值选取 从年、月和日3种时间尺度的森林水源涵养量进行比较分析,其中日时间尺度森林水源涵养量分为极端降水期间和极端枯水期间的涵养量。从每年多个暴雨洪水过程中,选取年最大1 d、连续最大5 d降雨期间的森林水源涵养量代表极端降水期间的水源涵养量,选取后者的原因是该流域的洪水历时一般5 d左右[30]。选取年最小1 d、连续最小7 d水源涵养量代表极端枯水期间森林水源涵养量的日变化特征。

3 结果

3.1 模型的校准与验证

基于晋江流域2006年土地利用数据和2001—2010年降雨径流数据,模型预热期为2001年,校准期为2002—2006年,验证期为2007—2010年。按多站点(石砻、安溪和山美水文站)年、月、日尺度对模型参数进行校准与验证。表1为3个站点不同时间尺度模型模拟值与实测值的比较结果。
表1 3个站点不同时间尺度模型模拟值与实测值的比较

Tab. 1 Model performance: calibrated and validated results for annual, monthly and daily runoff for Shilong, Anxi and Shanmei catchments

时间尺度 水文站 校准期(2002—2006年) 验证期(2007—2010年)
Ens PBIAS(%) R2 Ens PBIAS(%) R2
石垄站 0.96 7.15 0.99 0.97 5.47 0.96
安溪站 0.96 -2.4 0.99 0.93 8.2 0.96
山美站 0.99 -0.8 0.99 0.99 2.77 0.99
石垄站 0.95 10.86 0.97 0.93 10.07 0.94
安溪站 0.95 1.64 0.96 0.92 12.81 0.94
山美站 0.97 5.43 0.97 0.98 6.87 0.99
石垄站 0.87 6.87 0.86 0.82 6.07 0.83
安溪站 0.86 8.01 0.89 0.76 8.9 0.82
山美站 0.89 2.06 0.89 0.88 3.17 0.87
从年尺度上看,3个站点校准期、验证期效率系数和相关系数都大于0.9,相对误差都小于10%。从月尺度上看,校准期、验证期3个站点效率系数都大于0.9,校准期相对误差除石垄站为10.86%外,其余两个站点相对误差的绝对值都小于10%。验证期相对误差有所增加,其中石垄、安溪两个站点相对误差较高,分别达到10.07%、12.81%,年、月尺度相关系数都在0.9以上。从日尺度上看,校准期3个站点效率系数都在0.85以上,相对误差都小于10%。验证期效率系数最高为山美站点的0.87,最低为安溪站点的0.74。相对误差最高为安溪站的8.9%,最低为山美站的3.17%。总体上看,构建的模型能够反映晋江流域不同时间尺度的降雨径流过程。

3.2 森林HRU空间分布

通过将土地利用、土壤及坡度等面积阈值设定为0,模型共生成2774个HRU,统计流域不同土地利用HRU的面积,并与实际土地利用相比较如表2所示。结果表明,两者基本吻合,其中实际森林斑块的面积2805.87 km2,模型概化后森林HRU面积2815.75 km2,两者相差0.3%,实现了实际森林斑块与森林HRU在面积大小上的一致。从整个流域上看,森林HRU共468个,占流域面积55.85%,数量最多,分布面积最广。图3的森林斑块与森林HRU空间分布的比较,也基本反映了两者在空间分布上的匹配。
表2 不同土地利用HRU与实际土地利用面积比较

Tab. 2 Comparison of different land use HRUs with actual patches when the area threshold is set to 0.

土地利用 实际面积(km2) 模型概化后的面积(km2) 实际占流域面积比例(%) 模型概化后占流域面积比例(%) HRU 数量
耕地 460.33 461.55 9.13 9.15 403
旱地 157.31 156.30 3.12 3.10 301
森林 2805.87 2815.75 55.65 55.85 468
园地 1057.30 1061.43 20.97 21.05 448
建设用地 388.23 391.55 7.70 7.77 426
草地 39.33 39.58 0.78 0.79 199
水域 62.01 47.63 1.23 0.94 269
裸地 68.07 67.96 1.35 1.35 260
汇总 5042 5041.75 100 100 2774
图3 森林斑块与森林HRU空间分布图

Fig. 3 Spatial distribution of forest patches and forest HRU

3.3 森林水源涵养量

3.3.1 年涵养量 图4为2006年土地利用与2002—2010年降水条件下的森林水源年涵养量年际变化,最低是2003年为271.41 mm,最高是2010年为565.25 mm,多年平均值为410.40 mm,年际变化不大。森林水源年涵养量与年降雨量的相关性较大,相关系数达0.89(图5),表明年降雨量是年涵养量的重要影响因素。
图4 森林水源涵养量的年际变化

Fig. 4 Interannual variation of forest water conservation

图5 森林水源年涵养量与年降雨量的相关关系

Fig. 5 The correlation between annual forest water conservation and annual rainfall

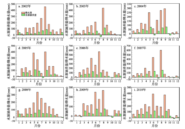
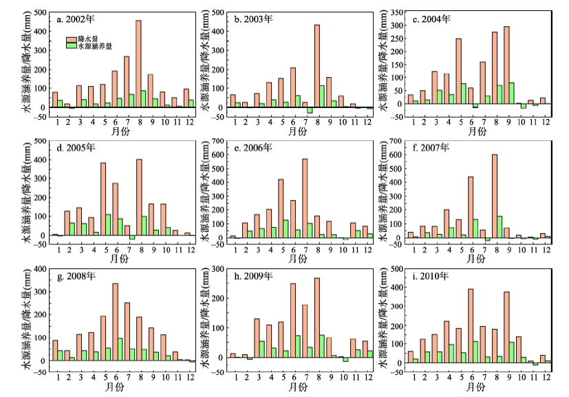
3.3.2 月涵养量 图6为2002—2010年森林水源月涵养量的变化。可以看出,不同月份森林水源涵养量差异很大,不仅反映在量值的大小,还表现在正负的变化。最大的是2007年8月的154.59 mm,最小为2003年7月的-29.15 mm。水源涵养量为负值,表明该月份森林水源涵养量为亏损的状态。
图6 2002—2010年每个月份的降雨量与水源涵养量的差异比较

Fig. 6 Comparison of monthly rainfall and water conservation in 2002-2010

9年间,水源涵养量为负值的月份共有22个月,其中出现在枯水期的11月至次年2月有13次,该13个月相应的降水量均值为12.61 mm,最大为26.32 mm。9次出现在3—10月,相应的降水量均值为31.84 mm,最大为69.93 mm。水源涵养量为负值的月份都是降雨量比较少的月份,降水量的大小是影响水源涵养量正负变化的主要因素。影响水源涵养量正负变化的另一个因素是太阳辐射条件,丰水期的3—10月太阳辐射强度大,蒸发能力强,导致相对枯水期11月至次年2月较大的降水量,也出现水源涵养量为负值。图7为历年森林水源月涵养量与降水量相关关系图,相关系数最大为2007年的0.91,最小值为2006年的0.73,每年的相关关系不稳定,相关性总体比年的关系差。
图7 历年森林水源月涵养量与降水量相关关系图

Fig. 7 The relationship between monthly forest water conservation and precipitation in calendar years

3.3.3 日涵养量
(1)极端降水期间涵养量。最大1 d森林水源涵养量都为正值(图8a),最小值为2002年的19 mm,最大值为2005年54 mm,多年平均值为30 mm。连续最大5 d森林水源涵养量最小值为2009年的42.55 mm(图8b),最大值为2006年77.73 mm,多年平均值为60.2 mm。最大1 d森林水源涵养量与降雨量相关性较低(图9a),仅为0.18,连续最大5 d森林水源涵养量与降雨量相关系数为0.8(图9b),相关性较强。
图8 森林水源日涵养量和降雨量差异比较

Fig. 8 Comparison of daily forest water conservation and rainfall (a: maximum daily value; b: maximum five-day value)

图9 洪水期日水源涵养量与降雨量关系图

Fig. 9 The relationship between daily water conservation and rainfall in flood season (a: maximum daily value; b: maximum five-day value)

(2)极端枯水期间涵养量。枯水期最小1 d森林水源涵养量都为负值(图10),多年平均值为-3.94 mm,其中最小值为2008年的2.98 mm,最大值为2006年的8.69 mm。连续最小7 d森林水源涵养量也都为负值,多年平均值为-16.43 mm,其中最小值为2009年的12.82 mm,最大值为2006年的26.51 mm。
图10 历年枯水期森林水源涵养量

Fig. 10 Forest water conservation in dry season of calendar years

4 讨论

4.1 水文响应单元面积阈值对各类土地利用面积概化的影响

不同的HRU划分方式会直接影响SWAT模型生成的各种土地利用面积概化的结果[51]表4为2006年土地利用条件下,不同面积阈值(如Y051010表示土地利用、土壤、坡度等面积阈值分别为5%、10%、10%)条件下,生成的各种土地利用面积(以各种土地利用HRU面积计)与实际土地利用面积的比较。可以看出,土地利用面积阈值对各土地利用HRU面积影响较大。以Y000000为基准,随着土地利用面积阈值的增加,含林地HRU面积逐渐增加。保持土壤、坡度面积阈值不变时,当面积阈值从0%增加为1%时,林地面积从2805.81 km2增加到2841.36 km2;当阈值为10%时,林地面积为3276.56 km2,比阈值为0%时增加470.75 km2,约16.78%。已有SWAT模型应用研究中,通常未考虑面积阈值选取对各类土地利用面积概化的影响,阈值一般都在5%~10%[52,53]或未有交代[54,55]。本文选取阈值为0%,保证了模型准确反映包括森林在内的各种土地利用的空间分布,从而保证了计算结果的合理性,为SWAT模型用于森林水源涵养计算奠定了模型基础。
表4 不同面积阈值取值条件下各土地利用HRU面积比较

Tab. 4 Area comparison of land use HRU under different threshold conditions

阈值 不同土地利用HRU的面积(km2)
森林 耕地 园地 建设用地 草地 旱地 裸地 水域
Y000000 2805.81 460.42 1057.05 391.71 39.44 157.23 68.23 61.86
Y011010 2841.36 465.21 1070.07 394.55 25.98 153.14 56.32 35.13
Y051010 3037.92 431.81 1137.66 338.30 2.18 70.50 21.28 2.10
Y101010 3276.56 347.31 1137.16 237.83 0 22.79 19.87 0.23
Y102010 3276.56 347.31 1137.16 237.83 0 22.79 19.87 0.23
Y102020 3276.56 347.31 1137.16 237.83 0 22.79 19.87 0.23

4.2 多时间尺度特征比较分析

晋江流域降水比较丰富,2002—2010年年平均降雨量达1686 mm,降水年际变化不大[56],森林面积占比较大。所以,从年尺度上看,森林水源涵养量年际变化不大,森林水源年涵养功能较为稳定;年涵养量都为正值,年际之间不存在相互补充、调节径流的作用。
从月尺度上看,晋江流域降水年内变化较大[56],降雨量最大的月份达327.88 mm,最低的月份仅为36.4 mm,丰水季3—10月降雨量达全年降雨量的89.16%。降水量小的部分月份森林水源涵养量出现负值。降水量大的月份与降水量小的月份之间森林水源涵养量的正负转换,反映了月尺度森林水源涵养的蓄丰补枯作用。降水量大的月份森林蓄积降水;降水量小的月份,森林通过地下径流等形式补充河道径流,体现了森林蓄丰补枯的作用。也即是晋江流域森林涵养水源、调节径流作用,在月尺度得到了体现。
从日尺度来看,最大1 d、连续最大5 d森林水源涵养量都为正值,表明森林在洪水期通过蓄积降水量,发挥减少洪峰流量等功能。最小1 d、连续最小7 d森林水源涵养量为负值,说明由于枯水期没有降水或降水很少,森林地区蓄积的水量,通过壤中流、地下径流的形式补充河道径流,体现了显著的蓄丰补枯作用。

5 结论

针对大多数流域森林空间分布不连续的现实,为更好地揭示森林水源涵养功能的时间尺度特征,根据分布式水文模型SWAT的特点,提出了反映森林空间分布特征的水文响应单元划分方法;依据SWAT模型的水量平衡原理,提出了基于水量平衡法的森林不连续分布流域森林水源涵养量计算公式。以东南沿海的晋江流域为例,构建了2006年土地利用条件下的SWAT模型,统计分析了2002—2010年降水条件下晋江流域森林水源涵养量的时空变化规律,结论如下:
(1)构建的晋江流域SWAT模型精度较高。面积阈值为零生成的水文响应单元比较准确地反映流域森林斑块分布,提出的森林水源涵养量计算公式适用于森林空间分布不连续流域森林水源涵养量的多时间尺度分析,从而为流域森林水源涵养功能评价提供了一个新的方法。
(2)不同时间尺度森林水源涵养功能差异明显。森林水源年涵养量都为正值,涵养量年际变化不大,森林水源年涵养功能较为稳定,年际之间不存在径流调节作用。大部分月涵养量为正值,少部分出现负值,丰水月份与枯水月份之间森林水源涵养量的正负转换,反映了森林水源涵养的蓄丰补枯功能在部分月份得到体现。从日尺度来看,极端降水期间森林水源涵养量都为正值,极端枯水期间森林水源涵养量都为负值,森林水源涵养的蓄丰补枯功能发挥得更加充分。
需要指出的是,森林水源涵养量受到降水、地形和土地等要素的影响,即使是同一流域,相同面积的森林,其空间分布不同,森林涵养的水源量是不同的。因此应进一步拓展森林水源涵养量与降水、地形、土地等要素的关系研究。不同区域,尤其是干旱半干旱地区的森林水源涵养功能时间尺度特征,与湿润地区的晋江流域可能也会有所不同。另一方面,模型如何更好反映林分类型、枯落物覆盖等因素的影响,也有待进一步改进。
[1]
Yu Jingjie, Liu Changming . A review on forest hydrology study. Geographical Research, 1989,8(1):88-98.

[ 于静洁, 刘昌明 . 森林水文学研究综述. 地理研究, 1989,8(1):88-98.]

[2]
Andreassian V . Waters and forests: From historical controversy to scientific debate. Journal of Hydrology, 2004,291(1-2):1-27.

[3]
Sandstrom K . Can forests "provide" water: Widespread myth or scientific reality? Ambio, 1998,27(2):132-138.

[4]
Vertessy R, Zhang L, Dawes W R . Plantations, river flows and river salinity. Australian Forestry, 2003,66(1):55-61.

[5]
Bonell M, Purandara B K, Venkatesh B , et al. The impact of forest use and reforestation on soil hydraulic conductivity in the Western Ghats of India: Implications for surface and sub-surface hydrology. Journal of Hydrology, 2010,391(1-2):47-62.

[6]
Jobbagy E G, Jackson R B . Groundwater use and salinization with grassland afforestation. Global Change Biology, 2010,10(8):1299-1312.

[7]
Sahin V, Hall M J . The effects of afforestation and deforestation on water yields. Journal of Hydrology, 1996,178(1-4):293-309.

[8]
Stednick J D . Hydrochemical balance of an alpine watershed in southeast Alaska. Arctic & Alpine Research, 1981,13(4):431-438.

[9]
Hou Yuanzhao, Zhang Ying, Cao Keyu. Accounting of Forest Resources. Beijing: China Science & Technology Press, 2005.

[ 侯元兆, 张颖, 曹克瑜 . 森林资源核算. 北京: 中国科学技术出版社, 2005.]

[10]
Si Jin, Han Peng, Zhao Chunlong . Review of water conservation value evaluation methods of forest and case study. Journal of Natural Resources, 2011,26(12):2100-2109.

[ 司今, 韩鹏, 赵春龙 . 森林水源涵养价值核算方法评述与实例研究. 自然资源学报, 2011,26(12):2100-2109.]

[11]
Wang Xiaoxue, Shen Huitao, Li Xuyong , et al. Concepts, processes and quantification methods of the forest water conservation at the multiple scales. Acta Ecologica Sinica, 2013,33(4):1019-1030.

[ 王晓学, 沈会涛, 李叙勇 , 等. 森林水源涵养功能的多尺度内涵、过程及计量方法. 生态学报, 2013,33(4):1019-1030.]

[12]
Deng Kunmei, Shi Peili, Xie Gaodi . Water conservation of forest ecosystem in the upper reaches of Yangtze River and its benefits. Resources Science, 2002,24(6):68-73.

[ 邓坤枚, 石培礼, 谢高地 . 长江上游森林生态系统水源涵养量与价值的研究. 资源科学, 2002,24(6):68-73.]

[13]
Zhang Wenguang, Hu Yuanman, Zhang Jing , et al. Forestwater conservation and its benefits in upper reaches of Minjiang River in recent 30 years. Chinese Journal of Ecology, 2007,26(7):1063-1067.

[ 张文广, 胡远满, 张晶 , 等. 岷江上游地区近30年森林生态系统水源涵养量与价值变化. 生态学杂志, 2007,26(7):1063-1067.]

[14]
Liu Lulu, Cao Wei, Shao Quanqin . Water conservation function of forest ecosystem in the Southern and Northern Pan River watershed. Scientia Geographica Sinica, 2016,36(4):603-611.

[ 刘璐璐, 曹巍, 邵全琴 . 南北盘江森林生态系统水源涵养功能评价. 地理科学, 2016,36(4):603-611.]

[15]
Tang Yuzhi, Shao Quanqin . Water conservation capacity of forest ecosystem and its spatial variation in the upper reaches of Wujiang River. Journal of Geo-information Science, 2016,18(7):987-999.

[ 唐玉芝, 邵全琴 . 乌江上游地区森林生态系统水源涵养功能评估及其空间差异探究. 地球信息科学学报, 2016,18(7):987-999.]

[16]
Xiao Han, Ou Yang Zhiyun, Zhao Jingzhu , et al. Forest ecosystem services and their ecological valuation: A case study of tropical forest in Jianfengling of Hainan Island. Chinese Journal of Applied Ecology, 2000,11(4):481-484.

[ 肖寒, 欧阳志云, 赵景柱 , 等. 森林生态系统服务功能及其生态经济价值评估初探: 以海南岛尖峰岭热带森林为例. 应用生态学报, 2000,11(4):481-484.]

[17]
Zhang Jianan, Zhang Jianjun, Zhang Haibo , et al. Water conservation capacity of typical forestlands in the Loess Plateau of western Shanxi Province of northern China. Journal of Beijing Forestry University, 2019,41(8):105-114.

[ 张佳楠, 张建军, 张海博 , 等. 晋西黄土区典型林分水源涵养能力评价. 北京林业大学学报, 2019,41(8):105-114.]

[18]
Zhang Biao, Li Wenhua, Xie Gaodi , et al. Characteristics of water conservation of forest ecosystem in Beijing. Acta Ecologica Sinica, 2008,28(11):5619-5624.

[ 张彪, 李文华, 谢高地 , 等. 北京市森林生态系统的水源涵养功能. 生态学报, 2008,28(11):5619-5624.]

[19]
Zeng Li, Li Jing, Li Ting , et al. Optimizing spatial patterns of water conservation ecosystem service based on Bayesian belief networks. Acta Geographica Sinica, 2018,73(9):1809-1822.

[ 曾莉, 李晶, 李婷 , 等. 基于贝叶斯网络的水源涵养服务空间格局优化. 地理学报, 2018,73(9):1809-1822.]

[20]
Ding Chengfeng, Zhang Huifang, Li Xia , et al. Quantitative assessment of water conservation function of the natural spruce forest in the central Tianshan Mountains: A case study of the Urumqi River Basin. Acta Ecologica Sinica, 2017,37(11):3733-3743.

[ 丁程锋, 张绘芳, 李霞 , 等. 天山中部云杉天然林水源涵养功能定量评估: 以乌鲁木齐河流域为例. 生态学报, 2017,37(11):3733-3743.]

[21]
Nie Yihuang, Gong Bin, Yi Xuewen . Water conservation valuation of Qinghai-Tibet Plateau. Research of Soil and Water Conservation, 2009,16(5):210-212.

[ 聂忆黄, 龚斌, 衣学文 . 青藏高原水源涵养能力评估. 水土保持研究, 2009,16(5):210-212.]

[22]
Zhou Jiawen, Gao Jixi, Gao Zhiqiu , et al. Analyzing the water conservation service function of the forest ecosystem. Acta Ecologica Sinica, 2018,38(5):1679-1686.

[ 周佳雯, 高吉喜, 高志球 , 等. 森林生态系统水源涵养服务功能解析. 生态学报, 2018,38(5):1679-1686.]

[23]
Wang Bing, Yang Fengwei, Guo Hao , et al. Specifications for assessment of forest ecosystem services in China (LY/T1721-2008). Beijing: Standards Press of China, 2008.

[ 王兵, 杨锋伟, 郭浩 , 等. 森林生态系统服务评估规范(LY/T1721-2008). 北京: 中国标准出版社, 2008.]

[24]
Zhang Biao, Li Wenhua, Xie Gaodi , et al. Water conservation function and its measurement methods of forest ecosystem. Chinese Journal of Ecology, 2009,28(3):529-534.

[ 张彪, 李文华, 谢高地 , 等. 森林生态系统的水源涵养功能及其计量方法. 生态学杂志, 2009,28(3):529-534.]

[25]
Tallis H T, Ricketts T, Guerry A D , et al. InVEST 2.2.1 User’s Guide. The Natural Capital Project, Stanford, 2011.

[26]
Wang Jiwei, Liu Kang, Weng Naiyi . Research on water conservation service function of forest ecological system in upstream of Hanjiang River based on In-VEST Model. Bulletin of Soil and Water Conservation, 2014,34(5):213-217.

[ 王纪伟, 刘康, 瓮耐义 . 基于In-VEST模型的汉江上游森林生态系统水源涵养服务功能研究. 水土保持通报, 2014,34(5):213-217.]

[27]
Bao Yubin, Li Ting, Liu Hui , et al. Spatial and temporal changes of water conservation of Loess Plateau in northern Shaanxi province by InVEST model. Geographical Research, 2016,35(4):664-676.

[ 包玉斌, 李婷, 柳辉 , 等. 基于InVEST模型的陕北黄土高原水源涵养功能时空变化. 地理研究, 2016,35(4):664-676.]

[28]
Wang Yuchun, Zhao Jun, Fu Jiewen , et al. Quantitative assessment of water conservation function and spatial pattern in Shiyang River basin. Acta Ecologica Sinica, 2018,38(13):4637-4648.

[ 王玉纯, 赵军, 付杰文 , 等. 石羊河流域水源涵养功能定量评估及空间差异. 生态学报, 2018,38(13):4637-4648.]

[29]
Pan Tao, Wu Shaohong, Dai Erfu , et al. Spatiotemporal variation of water source supply service in Three Rivers Source Area of China based on InVEST model. Chinese Journal of Applied Ecology, 2013,24(1):183-189.

[ 潘韬, 吴绍洪, 戴尔阜 , 等. 基于InVEST模型的三江源区生态系统水源供给服务时空变化. 应用生态学报, 2013,24(1):183-189.]

[30]
Lin B Q, Chen X W, Yao H X , et al. Analyses of land use change impacts on catchment runoff using different time indicators based on SWAT model. Ecological Indicators, 2015,58:55-63.

[31]
Yang Dawen, Li Chong, Ni Guangheng , et al. Application of a distributed hydrological model to the Yellow River Basin. Acta Geographica Sinica, 2004,59(1):143-154.

[ 杨大文, 李翀, 倪广恒 , 等. 分布式水文模型在黄河流域的应用. 地理学报, 2004,59(1):143-154.]

[32]
Wang Xiaoxue, Li Xuyong, Mo Fei , et al. Exploration of a new modeling method for forest water conservation based on cellular automata: Concept and theoretical framework. Acta Ecologica Sinica, 2010,30(20):5491-5500.

[ 王晓学, 李叙勇, 莫菲 , 等. 基于元胞自动机的森林水源涵养量模型新方法: 概念与理论框架. 生态学报, 2010,30(20):5491-5500.]

[33]
Baker T J, Miller S N . Using the Soil and Water Assessment Tool (SWAT) to assess land use impact on water resources in an East African watershed. Journal of Hydrology, 2013,486(8):100-111.

[34]
Ullrich A, Volk M . Application of the Soil and Water Assessment Tool (SWAT) to predict the impact of alternative management practices on water quality and quantity. Agricultural Water Management, 2009,96(8):1207-1217.

[35]
Osei M A, Amekudzi L K, Wemegah D D , et al. The impact of climate and land-use changes on the hydrological processes of Owabi catchment from SWAT model. Journal of Hydrology: Regional Studies, 2019,25:1-14.

[36]
Cibin R, Sudheer K P, Chaubey I . Sensitivity and identifiability of stream flow generation parameters of the SWAT model. Hydrological Processes, 2010,24(9):1133-1148.

[37]
Strauch M, Bernhofer C, Koide S , et al. Using precipitation data ensemble for uncertainty analysis in SWAT streamflow simulation. Journal of Hydrology, 2012,414:413-424.

[38]
Cui Yuanlai, Wu Di, Wang Shiwu , et al. Simulation and analysis of irrigation water consumption in multi-source water irrigation districts in southern China based on modified SWAT model. Transactions of the Chinese Society of Agricultural Engineering, 2018,34(14):94-100.

[ 崔远来, 吴迪, 王士武 , 等. 基于改进 SWAT 模型的南方多水源灌区灌溉用水量模拟分析. 农业工程学报, 2018,34(14):94-100.]

[39]
Wang Zhonggen, Liu Changming, Huang Youbo . The theory of SWAT model and its application in Heihe Basin. Progress in Geography, 2003,22(1):79-86.

[ 王中根, 刘昌明, 黄友波 . SWAT模型的原理、结构及应用研究. 地理科学进展, 2003,22(1):79-86.]

[40]
Lin F, Chen X W, Yao H X . Evaluating the use of Nash-Sutcliffe efficiency coefficient in goodness-of-fit measures for daily runoff simulation with SWAT. Journal of Hydrologic Engineering, 2017,22(11):231-239.

[41]
Zhang D J, Chen X W, Yao H X , et al. Improved calibration scheme of SWAT by separating wet and dry seasons. Ecological Modelling, 2015,301:54-61.

[42]
Arnold J G, Moriasi D N, Gassman P W , et al. SWAT: Model use, calibration, and validation. Trans. ASABE, 2012,55(4):1491-1508.

[43]
Arnold J G, Srinivasan R, Muttiah R S , et al. Large area hydrologic modeling and assessment (Part 1): Model development. Journal of American Water Resource Association, 1998,34(1):73-89.

[44]
Xu Z X, Pang J P, Liu C M , et al. Assessment of runoff and sediment yield in the Miyun Reservoir catchment by using SWAT model. Hydrological Processes, 2009,3(25):3619-3630.

[45]
Neitsch S L, Arnold J G, Kiniry J R , et al. SWAT User Manual, version 2009. Texas Water Resources Institute Technical Report. A&M University, Texas, USA, 2011.

[46]
Kiniry J R, Williams J R, King K W . Soil and Water Assessment Tool theoretical Documentation (version 2005). Computer Speech & Language, 2011,24(2):289-306.

[47]
Nakano Hideaki. Forest Hydrology. Beijing: China Forestry Publishing House, 1983: 207-212.

[ 中野秀章 . 森林水文学. 北京: 中国林业出版社, 1983: 207-212.]

[48]
Lin Bingqing . Simulations and analysis of landscape pattern change impacts on catchment runoff at different temporal scales based on SWAT[D]. Fuzhou: Fujian Normal University, 2014.

[ 林炳青 . 流域景观格局变化对不同时间尺度径流影响的SWAT模拟分析[D]. 福州: 福建师范大学, 2014.]

[49]
Lin Bingqing, Chen Ying, Chen Xingwei . A study on regional difference of hydrological parameters of SWAT model. Journal of Natural Resources, 2013,28(11):1988-1999.

[ 林炳青, 陈莹, 陈兴伟 . SWAT模型水文过程参数区域差异研究. 自然资源学报, 2013,28(11):1988-1999.]

[50]
Nash J E, Sutcliffe J V . River flow forecasting through conceptual models (Part 1): A discussion of principles. Journal of Hydrology, 1970,10(3):282-290.

[51]
Jha M, Gassman P W, Secchi S , et al. Effect of watershed subdivision on swat flow, sediment, and nutrient predictions. Journal of the American Water Resources Association, 2004,40(3):811-825.

[52]
Wang Yanjun, Lv Hongjun, Jiang Tong . Influence of watershed subdivision and DEM resolution on SWAT runoff simulation. Journal of China Hydrology, 2008,28(3):22-25.

[ 王艳君, 吕宏军, 姜彤 . 子流域划分和DEM分辨率对SWAT径流模拟的影响研究. 水文, 2008,28(3):22-25.]

[53]
Qiu Linjing, Zheng Fenli, Yin Runsheng . Effects of DEM resolution and watershed subdivision on hydrological simulation in the Xingzihe watershed. Acta Ecologica Sinica, 2012,32(12):3754-3763.

[ 邱临静, 郑粉莉, Yin Runsheng. DEM栅格分辨率和子流域划分对杏子河流域水文模拟的影响. 生态学报, 2012,32(12):3754-3763.]

[54]
Zhang Liping, Zeng Sidong, Wang Renchao , et al. Impacts of climate change on the hydrological cycle in the Luan River Basin. Resources Science, 2011,33(5):966-974.

[ 张利平, 曾思栋, 王任超 , 等. 气候变化对滦河流域水文循环的影响及模拟. 资源科学, 2011,33(5):966-974.]

[55]
Patil A, Ramsankaran R . Improving streamflow simulations and forecasting performance of SWAT model by assimilating remotely sensed soil moisture observations. Journal of Hydrology, 2017,555:683-696.

DOI

[56]
Chen Dong, Chen Xingwei . Comparison studies on water resources and its utilization in Fujian Province. Fujian Geography, 2005,20(1):5-8.

[ 陈东, 陈兴伟 . 福建省水资源及其利用比较研究. 福建地理, 2005,20(1):5-8.]

Outlines

/